18152_3-file con scadenze

Transcript

18152_3-file con scadenze
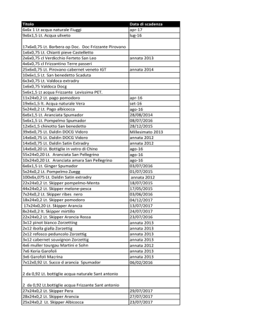
Titolo
6x6x 1 Lt acqua naturale Fiuggi
9x6x1,5 Lt. Acqua uliveto
17x6x0,75 Lt. Barbera op Doc. Doc Frizzante Pirovano
1x6x0,75 Lt. Chianti pieve Castelletto
2x6x0,75 cl Verdicchio Ferteto San Leo
4x6x0,75 cl Frizzantino Terre passeri
25x6x0,75 Lt. Pirovano cabernet veneto IGT
10x6x1,5 Lt. San benedetto Scaduta
6x3x0,75 Lt. Valdoca extradry
1x6x0,75 Valdoca Docg
5x6x1,5 Lt acqua Frizzante Levissima PET.
11x24x0,2 Lt. pago pomodoro
19x6x1,5 lt. Acqua naturale Vera
5x24x0,2 Lt. Pago albicocca
6x6x1,5 Lt. Aranciata Spumador
5x6x1,5 Lt. Pompelmo Spumador
12x6x1,5 chinotto San benedetto
39x6x0,75 Lt. Daldin DOCG Vidoro
14x6x0,75 Lt. Daldin DOCG Vidoro
14x6x0,75 Lt. Daldin Satin Extradry
14x6x0,20 Lt. Bottiglie in vetro di Chino
55x24x0,20 Lt. Aranciata San Pellegrino
10x24x0,20 Lt. Aranciata amara San Pellegrino
6x6x1,5 Lt. Ginger Spumador
5x24x0,2 Lt. Pompelmo Zuegg
100x6x,075 Lt. Daldin Satin extradry
22x24x0,2 Lt. Skipper pompelmo-Menta
44x24x0,2 Lt. Skipper melone-pesca
7x24x0,2 Lt. Skipper ribes nero
18x24x0,2 Lt. Skipper pomodoro
17x24x0,20 Lt. Skipper Arancia
8x24x0,2 lt. Skipper mirtillo
22x24x0,2 Lt. Skipper Arancia Rossa
3x12 pinot bianco Zorzetting
2x12 ibolla gialla Zorzettig
2x12 refosco peduncolo Zorzettig
3x12 cabernet souvignon Zorzettig
4x6 muller tourgau Martini e Sohn
7x6 Keria Garofoli
3x6 Garofoli Macrina
7x12x0,92 Lt. Succo d arancia Spumador
Data di scadenza
apr-17
lug-16
annata 2013
annata 2014
apr-16
set-16
ago-16
28/08/2014
08/07/2016
28/12/2015
Millesimato 2013
annata 2012
annata 2012
ago-16
ago-16
ago-16
03/07/2016
01/07/2015
annata 2012
18/07/2015
17/05/2015
03/06/2016
04/12/2017
13/07/2017
24/07/2017
23/07/2016
annata 2013
annata 2013
annata 2013
annata 2013
annata 2012
annata 2013
annata 2013
06/02/2016
2 da 0,92 Lt. bottiglie acqua naturale Sant antonio
2 da 0,92 Lt.bottiglie acqua Frizzante Sant antonio
27x24x0,2 Lt. Skipper Pera
28x24x0,2 Lt. Skipper Arancia
25x24x0,2 Lt. Skipper Albicocca
29/07/2017
27/07/2017
23/07/2017
22x24x0,2 Lt. Skipper Ananas
22x24x0,2 Lt. Skipper Ace
35x24x0,2 Lt. Skipper Pompelmo
10x24x0,25 Lt. Acqua San pellegrino Frizzante
6x24x0,25 Lt. Acqua panna Naturale
26x6 prosecco la Marca Doc
30x48x0,1 Lt. Bitter San pellegrino
4x24x0,2 Lt. Pago ananas
18x12x0,5 Lt. Gatorade Cool Blue
17x12x0,5 Lt. Gatorade Arancia Rossa
16x12x0,5 Lt. Gatorade al limone
15x12x0,5 Lt. Gatorade Arancia
5x24x0,175 Lt. Crodino Twist
2x24x0,18 Lt. Schweppes al limone
2x24x0,18 Lt. Schweppes al ginger ale
9x12x0,5 Lt. Belte alla pesca
6x12x0,5 Lt. Belte al limone
2x24x0,33 Lt. San pellegrino Aranciata amara
5x24x0,33 Lt. Estate al limone
3x24x0,33 Lt. Belte al limone
10x12x0,5 Lt. Te verde San benedetto
45x24x0,33 Lt. Te Lipton alla pesca
63x24x0,33 Lt. Te Lipton al limone
2x6 amarone cantina di Negar
acqua brillante
2x24 bacardi
2x6 montecarlo bianco buonamico
1x6 montecarlo rosso salceto
12x6 montecarlo rosso buonamico
5x6 vermentino bianco buonamico
3x6 brut rosè buonamico s
11x6 brut bianco buonamico
8x12 santa cristina cipresseto rose da 375 ml
1x6 santa cristina cipresseto rosè
3x6 donna fugata antilia bianco
1x6 donna fugata sedala
5x24x0,33 Lt. Aranciata Slam
11x24x0,33 Lt. 7up Gassosa
17x24x0,33 Lt. Pepsi Twist
61x24x0,33 Lt. Pepsi
15x24x0,33 Lt. Pepsi boom
17x24x0,33 Lt. Lipton Green tea
8x12x1 Lt. Birra San miguel
1x24x0,33 Lt. Birra Beck s
24x24x0,33 Lt. Di birra San miguel Fresca
n. 40 scatole 5 Kg Cad a uno di zucchero di canna in
bustine monodose
68x12x1 Lt. Di acqua Sant Antonio
9x6 soave custoza
9x6 custoza custoza bianco
21/07/2017
30/07/2016
03/11/2016
lug-16
annata 2014
gen-17
25/05/2016
04/05/2016
05/05/2016
27/04/2016
04/05/2016
01/08/2015
23/04/2016
22/04/2016
mar-16
ott-15
ago-16
11/02/2016
apr-16
23/12/2016
02/03/2016
mar-16
annata 2011
scaduta
31/10/2016
annata 2013
annata 2010
annata 2013
annata 2013
annata 2014
annata 2014
annata 2009
annata 2012
annata 2013
annata 2011
giu-16
lug-16
mag-16
05/05/2016
22/05/2016
20/07/2016
nov-16
lug-16
26/10/2016
nov-15
annata 2013
annata 2014
22x6 nebbiolo rivetti rosso
2x6 langhe arneis rivetti bianco
6x6 moscato asti rivetti
2x6 santa margherita pinot
1x6 muller santa mergherita
6x6 souvignon kaldaro
4x6 kaldaro traminen
4x6 muller kaldaro
6x6 kaldaro chardonnay
1x6 titulus fazi battaglia verdicchio
3x6 camaiole lugana
4x12 chiaretto camaiole da 375 ml
7x6 camaiole chiaretto da 375 ml
1X6 PREZIOSA ENOFANUSA
4x6 rasore nebbiolo
8x6 ferghettina bianco
1x6 barolo rasolo
4x6 barbera d alba marchisio
7x6 dolcetto d alba rasore
17x6 ruero arneis marchisio
9x6 cabernet souvignon custoza
6x6 bardolino chiaretto custoza
36x6 lugana custoza
7x6 vermentino monteoro sella e mosca
5x6 abidoru vermentino sella e mosca
cannonau doc sella e mosca
30x6 acqua sant anna da 1,5 lt
73x6 rum black jamaila
40x12 birra san miguel litro
40x12 birra san miguel litro
9x24x0,5 Lt. Sant pellegrino Acqua frizzante
17x24x0,5 Lt Acqua Frizzante Vera
16x24x0,5 Lt. Acqua frizzante San benedetto
19X20 Lt. Fusti Foscaro bianco frizz.
22x20 nero Foscaro
71x20 Lt. Fusti Bianco Foscaro
24x20 Birra San miguel
94x30 San miguel birra
2x25 Lt. Barbera pirovano fusto
1x25 bianco frizzantino pirovano
14 casse x 12 Lt. Aranciata spumador
6 casse x 12 Lt. Spuma nera Spumador
25 pacchi da 24 pz x0,5 lt. Levissima Frizz
annata 2012
annata 2013
annata 2013
annata 2011
annata 2014
annata 2012
annata 2014
annata 2013
annata 2014
annata 2012
anno 2013
annata 2013
annata 2013
annata 2012
annata 2012
annata 2013
annata 2011
annata 2012
annata 2012
annata 2013
annata 2012
annata 2013
annata 2014
annata 2013
annata 2013
annata 2010
30/07/2016
n. 40 bottiglie Valverde da 0,50 vetro acqua naturale
lug-17
n. 37 bottiglie Valverde da 0,50 vetro acqua frizz.
63 x 24 x0,5 lt San benedetto frizzante plastica
7x12x0,75 lt acqua frizzante Valverde vetro
1x12x0,75 Vetro acqua naturale Valverde
lug-17
dic-16
mag-17
mar-17
nov-16
nov-16
apr-16
ago-16
dic-16
annata 2015
annata 2015
21/06/2016
ago-16
lug-16
lug-16
lug-16
23 x 20 x0,5 Lt. Acqua frizzante in vetro San pellegrino
35x20x0,5 Lt. Acqua naturale Sant'antonio
7x12x1 vetro acqua frizzante San benedetto
1x12x1 vetro levissima frizzante
19x12x0,5 chianti Pieve castelletto
35x20x0,5 lt acqua naturale in vetro Levissima
31x20x0,5 lt acqua frizzante vetro Levissima
33x24x0,25 lt acqua naturale Valverde
54x24x0,25 lt acqua frizzante Valverde
16x0,5 lt absinthium Pastiglie leone
6x0,70 frangelico liquore
4x1 lt rose's sugar cane
4x1 lt pimm's
4x1 zucchero raffinato Sannazzaro
1x0,7 lt limoncello madruzzo
3x0,75 floriovo
3x0,7 lt illy illyquore
5x1 lt biancosarti
11x1 Passoà
2x1 Vov
9x1 lt kahlua
2x0,7 lt liquore strega g. alberti
9x0,7 Tia maria
1x0,7 lt ferro meno china bisleni
1x1 lt scotch brandy 84 vecchia riserva
5x0,7 lt scotch original ricetta classica
2x1 lt malibu caribbean rum
8x0,7 lt zedda piras mirto
16x0,7 lt. Midori melon liquor
10x0,5 lt liquore alla liquirizia Lanera Selezione
ciemme
4x1 borsci elisir Sanmarzano
3x1 lt rabarbaro zucca
3x1 lt cynar ricetta originale
6x1 lt averna amaro
7x1 lt liquore Disaronno
7x0,7 lt amaro china martini dolce
1x0,7 lt Amaro lucano
2x1 lt amaro Ramazzotti
1x0,7 lt Vecchio amaro Del capo distilleria Caffo
14x0,7 lt liquore fragole di bosco Roner
4x0,7 lt liquore mirtillo Roner
11x0,7 lt Grappa morbida "La morbida" Roner
8x0,7 Grappa nonino
5x0,7 lt grappa nonino alla ruta
10x0,7 lt bocchino sigillo nero
5x0,7 lt acquavite di pere williams Roner
7x0,7 lt acquavite di ciliegie kirschwasser Roner
5x0,7 lt. Grappa classica ceschia
mar-17
mag-17
lug-17
set-15
annata 2012
dic-16
mar-17
feb-17
gen-17
06/03/2016
lug-18
4x0,7 lt liquore alla mela verde Roner
11x1 lt acqua vite doppia rettificaz. B.lo Naraini
(invecchiato tre anni)
9x1 lt acquavite bianca Naraini (invecchiata 3 anni)
10x1 acqua vite riserva Naraini (invecchiata 3 anni)
11x1 acqua vite riserva Naraini (invecchiata 3 anni)
13x0,7 Lt. Blanc e neri chardonnay grappa affinata 12
mesi
10x1 lt grappa Candolini Bianca
8x0,7 lt Blanc e neri grappa gialla invecchiata 12 mesi
1x0,5 lt carezza d'autunno Delea
7x0,5 lt grappa storica nera Dominis
2x0,7 lt grappa riserva rossi di Angera invecchiata 24
mesi
14x0,7 lt prime uve bonaventura maschio
vendemmia 2007
10x0,7 lt prime uve nere Bonaventura maschio
vendemmia 2004/2005
5x1 lt grappa domenis 50 gradi
3x1 lt. Grappa domenis 40 gradi
1x0,5 lt grappa storica 10 riserva domenis invecchiata
10 anni e affinata 5 anni
1x0,5 lt storica duve acquavite Domenis
11x0,7 lt grappa Blanc e neri Domenis moscato
affianta 12 mesi
13x1 lt grappa Rossi D'angera bianca
3x0,7 lt liquore al miele a base di grappa Rossi
d'angera
4x0,7 lt trailaghi grappa di Nebbiolo da Barolo Rossi
d'angera
1x0,7 lt Brandy lepanto solera Gran riserva
3x0,7 lt liquore diambuy
8x0,7 lt calvados morin selection
3x0,7 lt cognac courvoisier v.s. le cognac de napoleon
2x0,7 lt brandy di jerez cardenal mendoza
2x0,7 lt cognac hennessy
2x0,7 lt brandy di jerez Carlos, solera gran riserva
1x1 lt brandy di jerez domecq 1820 solera gran reserva
2x0,75 lt white porto Sandeman
4x0,7 lt bas armagnac du de marvat
6x0,7 lt fine cognac martell v.s
5x0,7 lt fine champagne cognac remì martin v.s.o.p
4x0,7 lt cointreau liquore
3x0,7 lt liquor benedictine dom
18 x1 kg caffe milano
6x1,3 kg sciroppo Fabbri mix Crawnberry
5x1,3 kg sciroppo fabri mix fiori di sambuco
9x1,3 kg sciroppo fabbri mix granatina
6x1,3 kg scirpoo fabbri mix cocco
6x1 lt martini bianco
18x1 lt punch al mandarino liquore F.lli Barbieri
1x1 martini extra dry
29x1 lt cinzano rosso
7x1 lt cinzano bianco
12x1 lt punch all'arancia liquore F.lli Barbieri
4x1 lt punt e mes
14x1 lt martini rosato
5x7 lt black e white scotch e whisky
2x1 lt wat 69 scotch whisky
2x1 lt white horse fine old scotch whisky
1x0,7 lt red label old scotch whisky
8x1 lt teachers higland scotch whisky
1x0,7 lt jameson irish whisky
mar-17
feb-17
nov-17
mar-17
2x0,7 lt cutty shark berry bros & rud scotch whisky
3x0,7 lt ballantine's blendid scotch whisky
6x0,7 lt bushmills irish whisky
6x0,7 lt J&B blended scotch whisky
2x1 lt J&B blended scotch whisky
2x1 lt jack daniel's whisky
15x1 lt suothern compfort liquore
6x1 lt red label old scotch whisky jhonnie walker
3x1 lt four roses barbon whisky
4x0,7 lt wild turkey kentuky straight barbon whisky
invecchiato 6/8 anni
2x0,7 lt boumore islay single malt scotch whisky
invecchiato 8 anni
1x1 lt the tyrconnel irish whisky
3x0,7 lt laphtodig scotch whisky invecchiato 10 anni
2x0,7 lt lagavulinne invecchiato 16 anni
3x0,7 lt black label jhonnie wolker blended scotch
whisky invecchiato 12 anni
2x0,7 lt the glen livet ingle malt scotch whisky
invecchiato 12 anni
6x0,7 lt oban single malt scotch whisky invecchiato 14
anni
4x0,7 lt tullamore d.e.v. irish whisky
scad. 5/02/2013
10x0,7 lt jack daniel's single barrel select whisky
2x0,7 lt glenmorangle the original invecchiato 10 anni
6x0,7 lt talisker single malt scotch whisky invecchiato
10 anni
4x0,7 lt carattu speyside scotch whisky inv. 12 anni
3x0,7 the macallan amber scotch whisky
1x0,7 lt the macallan fine oak single malt highland
scotch whisky invecchiato 8 anni
4x1 lt bulldog dry gin
1x1 lt lifeguard gin
1x1 lt times gin
1x1 lt bosford gin
12x1 lt larios gin double distilled
13x1 lt ginmg
4x0,7 lt sauza tequila gold
1x0,7 lt jose cuervo especial tequila deposado
15x1 lt jose cuervo especial tequila deposado
7x1 lt sauza tequila silver
8x0,7 lt el explosion tequila blanco
2x1 lt cachaca 51 brasil
7x1 lt graciela cachaca
4x1 lt rega fulo cachaca
8x0,7 lt artic spicys mix guaranà vodka
1x0,7 lt artic vodka menta verde
1x1 lt artic vodka
3x0,7 lt skyy peach
7x1 lt rushkinoff vodka mint
1x1 lt polaris vodka fragola
2x0,7 lt gray goose vodka
1x1 lt polaris vodka melone
5x0,7 lt florowka cristal clear pure vodka
6x1 lt stolichnaya vodka
7x0,7 lt smirnoff triple distilled vodka
1x1 lt polaris vodka pesca
1x0,7 lt celthia vodka premium
6x1 lt artic vodka pesca
1x0,7 lt sobiesky estate vodka single rye
3x0,7 lt artic vodka pesca
2x1 lt keglevich triple distilled vodka
5x1 lt artic vodka melone
8x0,7 lt artic vodka e limone
1x1 lt keglevich delicouse vodka pesca
20x0,7 lt wyborowa wodka pure rye grain
8x0,7 lt skyy vodka
13x0,7 lt skyy glacial mint
11x0,7 lt skyy strawberry
20x0,7 lt skyy passion fruit
2x1 lt rushkinoff vodka
3x1 lt rushkinoff vodka e pears
17x0,7 lt keglevich vodka e liquirizia luxuria
18x0,7 lt keglevich fresh vodka e mela verde
6x0,7 lt keglevich vodka e melone
9x0,7 lt keglevich vodka e limone fresh
10x0,7 lt bacardi superior
6x0,7 pampero anniversario ron extra annejo
33x0,7 lt avana club annejo reseve
45x0,7 lt licor de ron e anans punta cana
11 x 0,7 lt black jamaica licor spiced rum
3x1 lt ron pampero blanco
11x0,7 lt canero caribbran rum centenario reserva
invecchiato 15 anni
25x0,7 lt capricho de estellar mocca liquor
5x0,7 myers s rum original dark
6x0,7 lt havana club invecchiato 3 anni
4x0,7 lt estellar liquor de ron green apple
2x0,7 lt liquor de ron e cocco punta cana
1x1 lt havana club hanejo especial
2x0,7 lt havana club invecchiato 7 anni
3x0,7 lt el dorado finest demerara rhum invecchiato 12
anni
1x0,70 lt savanna ile de la reunion , rhum vieux
invecchiato 3 anni
6x0,7 lt mombaclio ron reserva invecchiato 8 anni
5x1 lt rhum de caribes
1x0,7 lt pichincha ron invecchiato 13 anni
1x0,7 lt pichincha ron invecchiato 13 anni
5x0,7 lt licor de ron e caramel porta cana
19x0,7 lt licor de ron e chocolato porta cana
3x0,7 lt pineapple rum corch repubblic rum
16x1 lt rum bianco original
11x0,7 lt macollo ron anejo invecchiato 7 anni
48x0,7 lt estelar licor de ron e watermelon
9x1 lt le mati de ozama rum de madagascar
24x0,7 birds rum doppio distillato
10x0,7 lt ron abuelo invecchiato 7 anni
1x0,7 lt ron matusalem grande riserva invecchiato 13
anni
5x0,7 lt ron matusalem classico invecchiati 10 anni
4x0,7 ron matusalem invecchiato 7 anni
1x0,7 lt ron barcelo imperial
1x0,7 lt mombaclio ron sherry wood finish invecchiato
21 anni
8x0,7 lt vieux rom dzama invecchiato 6 anni
19x0,7 lt concli republic rum banana
1x0,7 lt mombaclio ronm reserva invecchiato 8 anni
6x0,7 lt ron royale invecchiato 10 anni
1x0,7 lt cacique 500 ron
2x0,7 lt saint james ron agricole
3x0,7 lt mombacilo ron invecchiato 19 anni
2x0,7 lt mombacilo gran reserva invecchiato 15 anni
1x0,7 lt canero caribbean rhum invecchiato 12 anni
1x0,7 lt rhum vieux savanna ile de la reunion
invecchiato 7 anni
17x0,7 lt beenleigy traditional rhum
3x0,7 lt vanilla dzama vieux rhum
1x0,7 lt cotopaxi rhum invecchiato 13 anni
2x0,7 lt vanilla dzama vieux rhum
2x0,7 lt soothard's western pearl jamaica rhum
4x0,7 lt doorly's barbaoos rhum invecchiato 3 anni
5x1 lt capitan huc black label rhum
2X0,7 Lt rum brugal extra viejo
2x0,7 lt. Birds rum doppio distillato
9x1 lt fernandes vat 19 rum
2x0,7 lt royal extra mature demerara rum invecchiato
da 10 anni
1x0,7 lt ron cartavio aniversario invecchiato da 12 anni
1 x 0,7 lt new grove mauritius island , invecchiato da 5
anni
5x0,7 lt montebello invecchiato da 8 anni
1x0,7 lt 1x0,7 lt macollo black invecchiato da 12 anni
20x0,70 lt. Vxo demerara rum
1x0,7 lt montebello vieux rum
8x0,7 lt montebello vieux rum invecchiaro da 8 anni
2x0,70 lt damoiseau rum vieux invecchiato da 3 anni
6x0,7 lt black jamaica rum invecchiato da 12 anni
2x0,45 lt montebello rum agricole
11x0,7 lt mombacho ron XO , cuvèè prestige
2x0,7 lt reimonenq rum vieux riserva speciale
invecchiato da 6 anni
3x0,7 lt ron indipendente 1821 invecchiato 8 anni
1x0,7 lt martinique sain etienne XO extra vieux
1x0,7 lt rum vintage 1990 zapatera riserva speciale
1x0,7 lt rum longueteau
1x0,7 lt cruzan clipper rum
2x0,7 lt rum zapatera riserva speciale vintage 1992
4x0,7 lt Rl seal's finest barvados rum invecchiato da 10
anni
2x0,7 lt martinique sain etienne rum agricole
3x0,7 lt rum vieux ice de la reunion invecchiato da 10
anni
14x0,7 lt pernod paris
3x1 lt natys cordial lime juice
5x0,7 lt de kuyper creme de menthe liqueur
1x0,7 lt de kuyper creme de cacao liqueur
2x0,7 lt de kuyper creme de bananes liqueur
4x0,7 lt de kuyper dry orange liqueur
1x0,5 lt assolo cioccolato e cocco
2x0,7 lt de kuyper apricot brandy liqueur
3x0,7 lt de kuyper creme de caco liqueur
7x0,7 lt de kuyper creme de menthe liqueur
4x0,70 lt bols strawberry liqueur
1x0,7 lt bols triple sec
1x0,7 lt bols creme de cassis
6x0,70 lt bols farfait amour
8x0,7 lt bols raspberry
10x0,7 lt the original peach tree
9x0,7 lt columbus anejo ron domenicano invecchiato
da 7 anni
10x1 lt ron cartavio blanco
24x0,70 lt ron estelar
6x0,5 lt cotopaxi rum invecchiato da 14 anni
45x0,7 lt d'anguiar's xm invecchiato da 5 anni
47x0,7 lt ron ocumare
6x1 lt ron abuelo aniejo riserva speciale
56x0,75 lt vino rosso tenuta peserzana , il gasparossa
2x6x1 lt il santo vino rosso liquoroso
6x0,75 lt vino rosso brunotto barbaresco
3x12x0,5 lt bruno Porro Dogliani vino rosso
9x6x0,75 lt vino bianco Russolo mussignaz
4x6x0,75 lt vino rosso Nipozzano riserva chianti ,
frescobaldi
13x6x0,75 vino rosso chianti Castiglioni
6x0,75 lt Vino rosso , Brunello di Montalcino Castello
banfi
6x0,75 Castello Banfi , Rosso di montalcino
3x3x1,5 Lt Berlucchi '61 Franciacorta
1x1,5 lt champagne collette
2x6x0,5 lt Vino rosso, Moscato di siracusa, Cantine
Gulino Don Nuzzo
6x0,5 lt vino rosso ,Domini Veneti vigneti di Moron,
recito del valpolicella Docg
2x6x0,5 lt vino Biano Zorzetting picolit Docg
6x0,75 lt Vino rosso, Brunello di montalcino Col D'orcia
Docg
2x0,75 champagne couvèe laurent-perier
21x0,75 lt Berlucchi couvèe imperiale Spumante
3x1,5 lt Prosecco V8+ extradry Siorbepi
scadenza 3/15
2013
annata 2014
scaduto
annata 2012
annata 2011
aannata 2013
annata 2013
annata 2012
sboccatura 2014
annata 2011
annata 2010
Annata 2009
annata 2007
Sboccatura 2010
Scaduto
8x1,5 lt prosecco v8+ extradry Siorberto
9x0,75 lt. Berlucchi cellarius spumante rosè
Scaduto
2004
4x0,75 lt .Conta di Castaldi Francia corta Brut Docg
9x6x0,75 lt vino bianco fiano di Avellino Feudi di san
gragorio Docg
3x0,75 lt Vino rosso Caiato Merlot Doc
2x6x0,75 lt Delea ismaro merlot vino rosso doc
scaduto
6x0,75 lt johnatan Brut spumante bianco ticinese doc
6x0,75 lt Ca de bosco Cuertefranca Doc
6x0,75 lt vino rosso , bohemi oltrepo pavese "Le
fraccie" Doc
vendemmia 2009
vendemmia 2007
3x6x0,75 lt vino rosso , Capezzana Carmignano Docg
2x6x0,75 lt Vino rosso , Capezzana banco reale di
Carmignano Doc
annata 2011
annata 2012
annata 2008
annata 2010
annata 2005
annata 2013
6x0,75 lt Monterossa Rosè brut Franciacorta Docg
9x6x0,75 Lt. Acqua panna naturale
16x20x0,45 lt. San pellegrino Frizzante
scad. 06/17
scad. 05/17
12x60,75 lt. Porsecco Vadobbiadene , extra dry Docg
10x6x0,75 lt. Daldin prosecco
Scaduto
10x6x0,75 lt . Prosecco la marca ,Treviso extra dry
3x12x0,75 lt Prosecco Gravanago
13x6x0,75 lt. Pinot Nero , Pirovano oltrepo pavese
DOC
2x12x0,375 lt. Cipresseto Santa Cristina
7x0,70 lt. Ron estelar licor de ror y durazno
5x0,70 lt. Ron estelar licor de ror y manzana
3x6x1,5 lt Villa valentino Vino rosso calosm IGT
2x0,5 lt zorzetting picolit 2009 Docg
1x6x0,70 lt rossi d'Angera , liquore al miele
15x0,75 lt Zorzetting , ribolla gialla vino bianco
1x6x0,75 lt. Merlot ismaro Doc
14x0,75 lt. Zorzetting pinot bianco
2x9x0,75 lt zorzetting chardonnay
3x6x1,5 lt. Doxi valentino Calosm Igt
3x6x1,5 lt villa Valentino rosato Igt
3x12x0,92 lt spumador nera
2x12x092 lt. Spumador aranciata
5x0,75 lt titulus 2.0 verdicchio dei castelli di jesi
1x6x0,75 lt Verdicchio dei castelli di jesi Classico
Forteto san Leo DOC
1x6x0,75 lt Sella e mosca Cannonau di Sardegna Doc
1x6x0,75 lt Vigneti di Torbe , Valpolicella classico
superiore
scaduto 2009
annata 2013
annata 2013
annata 2010
annata 2013
annata 2013
annata 2013
annata 2013
scad. 07/16
scad 07/16
annata 2013
annata 2010
22x6x0,75 lt kaltern gewurztraimener
1x6x0,75 lt Sella e mosca, Abioru Vermentino di
sardegna
1x6x0,75 lt Molin camailo Dop
1x6x0,75 lt Cipresseto Santa cristina
5x6x0,75 Val dei molini Lugana Doc
3x6x0,75 lt Val dei molini Cabernet sauvignon Garda
Doc
5x6x0,75 lt Val dei molini Soave Doc
2x6x0,75 lt Val dei molini Bardolino chiaretto classico
Doc
3x6x0,75 lt Val dei molini custoza Doc
1x6x0,75 lt vino nobile Di Montepulciano Salchetto
1x6x0,75 lt Bonarda Op DOC , pirovano oltrepo pavese
2x6x0,75 lt ottella Lugana DOC vino bianco
1x6x0,75 lt Ottella Roses roses
2x12x0,75 lt Cipresseto Santa cristina
6x6x0,75 lt Val dei molini Valpolicella Doc
4x6x0,75 lt Pirovano Cabernet Veneto IGT
2x12x0,75 lt. Zorzetting, Cabernet sauvignon vino
bianco
2x6x0,75 lt. Feudi di San gragorio ,Greco di Tufo Docg
2x6x0,75 Chianti pieve castelletto Docg
annata 2012
annata 2014
annata 2012
annata 2013
annata 2013
annata 2014
annata 2011
annata 2014
annata 2014
annata 2009
annata 2013
annata 2014
annata 2013
annata 2013
annata 2014
3x6x0,75 lt Terre e passeri , Terrre bianca , Vino bianco
4x6x0,75 lt. Cantina Rasore , Nebbiolo d'alba Doc
2x6x0,75 lt. Cantina Rasore , Barolo Doc
3x6x0,75 lt. Cantina Rasore , Dolcetto D'Alba Doc
annata 2012
annata 2012
annata 2012
2x6x0,75 lt Ducato Sannita , Falanghina del Sannio Doc annata 2014
6x,075 lt Prunotto Barolo Docg
annata 2010
1x6x0,75 lt Rosso di Montalcino Castello Banfi Doc
annata 2012
6x0,75 lt Conti di Sertoli Salis , Sforzato di valtellina
6x0,75 lt. Castello Banfi , Brunello di Montalcino
6x0,75 lt. Col d'Orcia , Brunello di Montalcino
2x6x0,75 lt. Garofoli , Lacrima di Morro d'Alba
6x0,75 lt. Ceretto Blangè , langhe Doc arneis
2x6x0,75 lt. Pinot nero , Oltrepo pavese Giorgi
6x0,75 lt . Masciarelli , Trebbiano D'abruzzo
6x0,75 lt Banfi , Chianti Classico Docg Riserva
6x0,75 lt Rivetti Massimo , Barbaresco Froi
2x6x0,75 lt Pirovano , Barbera Op Doc
3x6x0,75 lt Rivetti Massimo , Barbera Froi
6x0,75 lt kaltern chardonnay
annata 2007
annata 2009
annata 2002
annata 2012
annata 2012
annata 2013
annata 2013
annata 2011
annata 2009
annata 2012
annata 2013
6x0,75 lt kaltern sauvignon
6x0,75 lt kaltern muller Thurgau
6x0,75 lt casa Coller, Spumante Moscato
8x0,75 lt. Massimo Rivetti , Moscato d'asti
10x0,5 lt Bruno porro , Dogliani Docg
annata 2011
annata 2013
annata 2013
annata 2011