vademecum imu - Comune di Sant`Agata Li Battiati

Transcript

vademecum imu - Comune di Sant`Agata Li Battiati
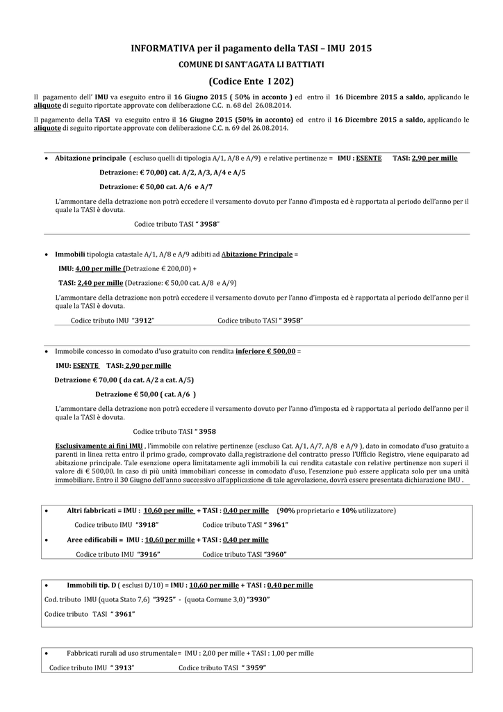
INFORMATIVA per il pagamento della TASI – IMU 2015
COMUNE DI SANT’AGATA LI BATTIATI
(Codice Ente I 202)
Il pagamento dell’ IMU va eseguito entro il 16 Giugno 2015 ( 50% in acconto ) ed entro il 16 Dicembre 2015 a saldo, applicando le
aliquote di seguito riportate approvate con deliberazione C.C. n. 68 del 26.08.2014.
Il pagamento della TASI va eseguito entro il 16 Giugno 2015 (50% in acconto) ed entro il 16 Dicembre 2015 a saldo, applicando le
aliquote di seguito riportate approvate con deliberazione C.C. n. 69 del 26.08.2014.
 Abitazione principale ( escluso quelli di tipologia A/1, A/8 e A/9) e relative pertinenze = IMU : ESENTE
TASI: 2,90 per mille
Detrazione: € 70,00) cat. A/2, A/3, A/4 e A/5
Detrazione: € 50,00 cat. A/6 e A/7
L’ammontare della detrazione non potrà eccedere il versamento dovuto per l’anno d’imposta ed è rapportata al periodo dell’anno per il
quale la TASI è dovuta.
Codice tributo TASI “ 3958”
 Immobili tipologia catastale A/1, A/8 e A/9 adibiti ad Abitazione Principale =
IMU: 4,00 per mille (Detrazione € 200,00) +
TASI: 2,40 per mille (Detrazione: € 50,00 cat. A/8 e A/9)
L’ammontare della detrazione non potrà eccedere il versamento dovuto per l’anno d’imposta ed è rapportata al periodo dell’anno per il
quale la TASI è dovuta.
Codice tributo IMU “3912”
Codice tributo TASI “ 3958”
 Immobile concesso in comodato d’uso gratuito con rendita inferiore € 500,00 =
IMU: ESENTE
TASI: 2,90 per mille
Detrazione € 70,00 ( da cat. A/2 a cat. A/5)
Detrazione € 50,00 ( cat. A/6 )
L’ammontare della detrazione non potrà eccedere il versamento dovuto per l’anno d’imposta ed è rapportata al periodo dell’anno per il
quale la TASI è dovuta.
Codice tributo TASI “ 3958
Esclusivamente ai fini IMU , l’immobile con relative pertinenze (escluso Cat. A/1, A/7, A/8 e A/9 ), dato in comodato d’uso gratuito a
parenti in linea retta entro il primo grado, comprovato dalla registrazione del contratto presso l’Ufficio Registro, viene equiparato ad
abitazione principale. Tale esenzione opera limitatamente agli immobili la cui rendita catastale con relative pertinenze non superi il
valore di € 500,00. In caso di più unità immobiliari concesse in comodato d’uso, l’esenzione può essere applicata solo per una unità
immobiliare. Entro il 30 Giugno dell’anno successivo all’applicazione di tale agevolazione, dovrà essere presentata dichiarazione IMU .

Altri fabbricati = IMU : 10,60 per mille + TASI : 0,40 per mille
Codice tributo IMU “3918”

Codice tributo TASI “ 3961”
Aree edificabili = IMU : 10,60 per mille + TASI : 0,40 per mille
Codice tributo IMU “3916”

(90% proprietario e 10% utilizzatore)
Codice tributo TASI “3960”
Immobili tip. D ( esclusi D/10) = IMU : 10,60 per mille + TASI : 0,40 per mille
Cod. tributo IMU (quota Stato 7,6) “3925” - (quota Comune 3,0) “3930”
Codice tributo TASI “ 3961”

Fabbricati rurali ad uso strumentale= IMU : 2,00 per mille + TASI : 1,00 per mille
Codice tributo IMU “ 3913”
Codice tributo TASI “ 3959”
INTERESSI
Codice Tributo IMU “3923”
Codice tributo TASI “3962”
SANZIONI
Codice tributo IMU “ 3924”
Codice tributo TASI “ 3963”
Nel caso in cui l’unità immobiliare è occupata da soggetto diverso dal proprietario (inquilino), la TASI deve essere pagata in maniera
autonoma. Pertanto, l’occupante sarà tenuto al versamento TASI nella misura del 10%, mentre il proprietario dell’immobile dovrà pagare la
restante quota del tributo pari al 90%.
Il contribuente provvederà al calcolo del nuovo tributo TASI in autoliquidazione come di consueto avviene per l’IMU. Non si fa luogo al
versamento della TASI qualora l’imposta dovuta sia inferiore ad € 2,00 e dell’IMU qualora l’imposta dovuta sia inferiore ad € 5,00, da
intendersi entrambi come tributo complessivo da versare su base annua.
La base imponibile della TASI è quella prevista per l’applicazione dell’IMU, da individuarsi nella rendita degli immobili iscritti al Catasto. Si
calcola moltiplicando la rendita catastale, rivalutata del 5%, per i seguenti moltiplicatori:
160 per i fabbricati del gruppo catastale A ( esclusi A/10) e delle categorie catastali
C/2, C/6 e C/7;
140 per i fabbricati del gruppo catastale B e delle categorie catastali C/3, C/4 e C/5;
80
per i fabbricati delle categorie catastali D/5 e A/10
65 per i fabbricati del gruppo catastale D (ad eccezione della categoria catastale D/5);
55 per i fabbricati della categoria catastale C/1.
Per i fabbricati del gruppo catastale D, non iscritti in catasto, posseduti da imprese e distintamente contabilizzati, la base imponibile è data dai
costi di acquisizione per i coefficienti di attualizzazione stabiliti per anno di formazione.
Per i fabbricati di interesse storico o artistico e per i fabbricati inagibili inabitabili e di fatto non utilizzati, la base imponibile è ridotta del 50%,
limitatamente al periodo durante il quale sussistono dette condizioni.
Per le aree edificabili il valore è costituito da quello venale in comune commercio vigente.
ESEMPIO CALCOLO TASI 2015
Rendita catastale immobile Categoria A/2: € 680,00
Rendita catastale rivalutata del 5% ( € 680,00 x 1,05) = € 714,00
Valore imponibile : € 714,00 x 160 = € 114.240,00
Aliquota da applicare 2,90 per mille = (114.240,00 x 2,90) / 1000 = € 331,29
€ 331,29 – 70,00 (detrazione) = € 261,29 Importo annuo TASI
Acconto 50% = € 130,64 (importo arrotondato da versare € 131,00)
Gli obblighi dichiarativi TASI sono assolti, per i possessori, attraverso la presentazione della dichiarazione ICI/IMU e, per i detentori,
attraverso la presentazione della dichiarazione TARES/TARI. In sede di prima applicazione del tributo si considerano valide tutte le
dichiarazioni presentate ai fini dell’IMU o della previgente ICI, contenenti tutti gli elementi utili per l’applicazione del tributo. Tutti i
possessori di immobili soggetti alla TASI che non hanno presentato una valida dichiarazione di cui sopra, nonché tutti i detentori degli stessi,
sono tenuti a presentare la dichiarazione TASI su apposito modello messo a disposizione dal Comune. Inoltre la dichiarazione va presentata
quando intervengono variazioni per le quali l’immobile e relative pertinenze non sono più imponibili ai fini IMU, in quanto equiparati ad
abitazione principale.

Documenti analoghi

Comunicazione IMU - Comune di Castelvetere sul Calore

Comunicazione IMU - Comune di Castelvetere sul Calore Il 16 giugno 2015 scade il termine per il versamento dell’acconto dell’IMU e della TASI. L’acconto è pari alla metà dell’imposta dovuta per l’anno in corso, calcolata applicando le aliquote e le de...

Dettagli

File allegato - Comune di Campoli Appennino

File allegato - Comune di Campoli Appennino Vista la legge 23 dicembre 2014, n.190 e successive modificazioni ed integrazioni Visto l'art. 1, commi da 639 a 714, della legge 27 dicembre 2013 n. 147 (legge di stabilità 2014) che istituisce e ...

Dettagli

COMUNE DI SAN FERDINANDO DI PUGLIA INFORMATIVA TASI

COMUNE DI SAN FERDINANDO DI PUGLIA INFORMATIVA TASI 1. La TASI è dovuta da chiunque possieda o detenga a qualsiasi titolo le unità immobiliari di cui all'art. 1, comma 669 della Legge 147/2013. In caso di pluralità di possessori o di detentori, essi...

Dettagli

Comune di BARCELLONA POZZO DI GOTTO Provincia di MESSINA

Comune di BARCELLONA POZZO DI GOTTO Provincia di MESSINA Il comodatario deve usare l'immobile in comodato come sua abitazione principale quindi deve avere la residenza e l'abituale dimora nell'immobile avuto in comodato. Il contratto di comodato deve ess...

Dettagli

Comune di Castelvetere sul Calore

Comune di Castelvetere sul Calore pertanto l’acconto, con scadenza 16 giugno 2014, va versato sulla base delle aliquote

Dettagli