Formulario

Transcript

Formulario
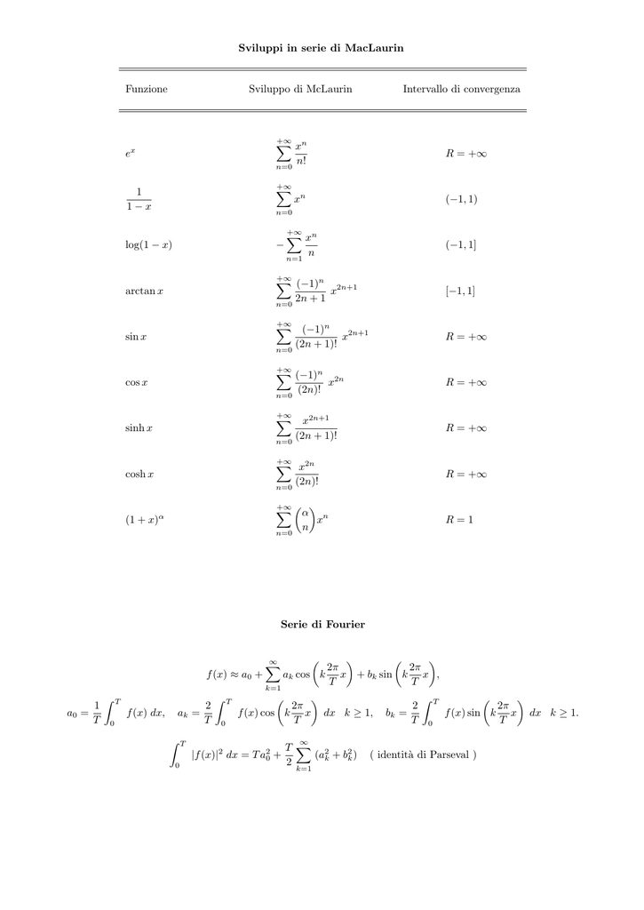
Sviluppi in serie di MacLaurin
Funzione
Sviluppo di McLaurin
+∞ n
X
x
n!
n=0
ex
+∞
X
1
1−x
Intervallo di convergenza
R = +∞
xn
(−1, 1)
+∞ n
X
x
n
n=1
(−1, 1]
n=0
log(1 − x)
−
arctan x
+∞
X
(−1)n 2n+1
x
2n + 1
n=0
[−1, 1]
sin x
+∞
X
(−1)n
x2n+1
(2n
+
1)!
n=0
R = +∞
cos x
+∞
X
(−1)n 2n
x
(2n)!
n=0
R = +∞
sinh x
+∞
X
x2n+1
(2n + 1)!
n=0
R = +∞
cosh x
+∞
X
x2n
(2n)!
n=0
R = +∞
+∞ X
α
(1 + x)α
n=0
n
xn
R=1
Serie di Fourier
a0 =
1
T
Z
T
f (x) dx,
ak =
0
Z
0
2
T
Z
0
T
∞
X
2π
2π
ak cos k x + bk sin k x ,
T
T
k=1
Z
2π
2 T
2π
f (x) cos k x dx k ≥ 1, bk =
f (x) sin k x dx k ≥ 1.
T
T 0
T
f (x) ≈ a0 +
T
|f (x)|2 dx = T a20 +
∞
T X 2
(ak + b2k )
2
k=1
( identità di Parseval )
Trasformata di Laplace
Linearità
( a, b ∈ IR )
( a ∈ IR )
Traslazione
L[ax(t) + by(t)](s) = aX(s) + bY (s)
s > max{sx , sy }
L[x(t − a)u(t − a)](s) = e−as X(s)
s > sx
s > a + sx
Modulazione
( a ∈ IR )
L[eat x(t)](s) = X(s − a)
Riscalamento
( a>0 )
L [x(at)] (s) =
1 s
X
a
a
s > asx
Derivazione rispetto a s
L [tn x(t)] (s) = (−1)n X (n) (s)
s > sx
Derivazione rispetto a t
L[x0 (t)](s) = sX(s) − x(0+ )
s > max{sx , sx0 }
L[x00 (t)](s) = s2 X(s) − sx(0+ ) − x0 (0+ )
s > max{sx , sx0 , sx00 }
Z
+∞
X(r)dr = L
Integrale della trasformata
s
x(t)
(s)
t
Convoluzione
L[(x ∗ y)(t)] = X(s) Y (s)
Trasformata dell’integrale
L
Z
0
t
s > max{sx , sy }
X(s)
x(r)dr (s) =
s
s > max{0, sx }
X(s) = L[x(t)](s)
x(t)
u(t)
s > sx
sx
1
s
0
eat
(a ∈ IR)
1
s−a
a
tn
(n ∈ IN )
n!
sn+1
0
sin(at)
(a ∈ IR)
cos(at)
(a ∈ IR)
sinh(at)
(a ∈ IR)
cosh(at)
(a ∈ IR)
eat sin(bt)
(a, b ∈ IR)
eat cos(bt)
(a, b ∈ IR)
sin t
t
a
+ a2
0
s
s2 + a2
0
a
s2 − a2
|a|
s
− a2
|a|
s2
s2
b
(s − a)2 + b2
s−a
(s − a)2 + b2
1
arctan
s
a
a
0
Trasformata di Fourier
Linearità
F[ax(t) + by(t)](ω) = aX(ω) + bY (ω)
Traslazione
F[x(t + a)](ω) = X(ω)eiωa
a ∈ IR
Modulazione
F[eiat x(t)](ω) = X(ω − a)
a ∈ IR
Riscalamento
F [x(at)] (ω) =
Trasposizione
F[x(−t)](ω) = X(−ω)
Coniugazione
h
i
F x(t) (ω) = X(−ω)
Derivazione rispetto a ω
F[tn x(t)](ω) = in X (n) (ω)
Derivazione rispetto a t
F[x(n) (t)](ω) = (iω)n X(ω)
Simmetria
F[X(ω)](t) = 2πx(−t)
Convoluzione
F[(x ∗ y)(t)](ω) = X(ω) Y (ω)
Prodotto
F[x(t)y(t)](ω) =
Z
+∞
Parseval-Plancherel
−∞
1 ω
X
|a|
a
a 6= 0
1
(X ∗ Y )(ω)
2π
Z
1
x(t)y(t)dt =
2π
+∞
Z
−∞
X(ω) = F[x(t)](ω)
pT (t)
2
sin
ω
e−at u(t)
1
a + iω
e−a|t|
2a
ω 2 + a2
r
π −ω2 /(4a)
e
a
2
+∞
X(ω)Y (ω)dω
x(t)
e−at
a, b ∈ C
I
ωT
2
−∞
1
|x(t)| dt =
2π
2
Z
+∞
|X(ω)|2 dω
−∞
a>0
a>0
a>0
sin(at)
t
πp2a (ω)
a>0
1
t2 + a2
π −a|ω|
e
a
a>0
sign(t)
2
iω
1
t
−iπ sign(ω)