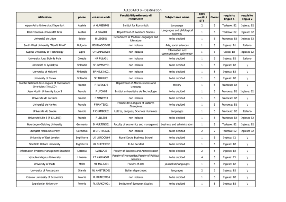
Allegato B - Destinazioni

Transcript

Allegato B - Destinazioni
ALLEGATO B - Destinazioni
istituzione
paese
erasmus code
Facoltà/Dipartimento di
riferimento
Subject area name
spot
mobilità
STT
Giorni
requisito
lingua 1
requisito
lingua 2
Alpen-Adria Universitat Klagenfurt
Austria
A KLAGENF01
Institut fur Romanistik
Languages
2
5
Tedesco: B2
Inglese: B2
Karl-Franzens-Universität Graz
Austria
A GRAZ01
Department of Romance Studies
Languages and philological
sciences
1
5
Tedesco: B2
Inglese: B2
to be decided
1
5
Francese: B2
Inglese: B2
Université de Liège
Belgio
B LIEGE01
Department of Modern Languages and
Literature
South West University "Neofit Rilski"
Bulgaria
BG BLAGOEV02
non indicato
Arts, social sciences
1
5
Inglese: B1
Italiano
1
5
Greco: B2
Inglese: B2
Cyprus University of Technology
Cipro
CY LIMASSO02
non indicato
Information and
communication technology
University Juraj Dobrila Pula
Croazia
HR PULA01
non indicato
to be decided
1
5
Inglese: B2
Italiano
Università di Jyväskylä
Finlandia
SF JYVASKY01
non indicato
to be decided
1
5
Inglese: B2
\
University of Helsinki
Finlandia
SF HELSINK01
non indicato
to be decided
1
5
Inglese: B2
\
University of Turku
Finlandia
SF TURKU01
non indicato
to be decided
1
5
Inglese: B2
\
Institut National des Langues at Civilisations
Orientales (INALCO)
Francia
F PARIS178
Department of African studies and
language
History
1
5
Francese: B2
\
Jean Moulin University Lyon 3
Francia
F LYON03
Institut universitaire de Technologie
to be decided
1
5
Francese: B2
Inglese: B2
Université de Lorraine
Francia
F NANCY43
non indicato
to be decided
1
5
Francese: B2
\
Université de Nantes
Francia
F NANTES01
Facultè des Langues et Cultures
Etrangères
to be decided
1
5
Francese: B2
\
Université de Savoie
Francia
F CHAMBER01
Lettres, Langues, Sciences Humaines
Languages
1
5
Francese: B2
Italiano
Université Lille 3 (F LILLE03)
Francia
F LILLE03
non indicato
to be decided
1
5
Francese: B2
Inglese: B2
Nuertingen-Geisling University
Germania
D NURTING01
Faculty of economics and managemnt
business and administration
1
5
Tedesco: B2
Inglese: B2
Stuttgart Media University
Germania
D STUTTGA06
non indicato
to be decided
2
2
Tedesco: B2
Inglese: B2
University of East London
Inghilterra
UK LONDON64
Royal Docks Business School
to be decided
1
5
Inglese: C1
\
Sheffield Hallam University
Inghilterra
UK SHEFFIE02
to be decided
to be decided
1
5
Inglese: B2
\
Information Systems Management Institute
Lettonia
LVRIGA32
Faculty of Business and Administration
to be decided
2
5
Inglese: B2
\
Vytautas Magnus University
Lituania
LT KAUNAS01
Faculty of Humanities/Faculty of Political
sciences
to be decided
4
5
Inglese: C1
\
University of Malta
Malta
MT MALTA01
Faculty of arts
journalism/languages
1
5
Inglese: B2
\
University of Amsterdam
Olanda
NL AMSTERD01
Italian department
languages
2
2
Inglese: B2
\
Cracow University of Economics
Polonia
PL KRAKOW04
non indicato
to be decided
1
5
Inglese: B2
\
Jagiellonian University
Polonia
PL KRAKOW01
Institute of European Studies
to be decided
1
5
Inglese: B2
\
University of Warsaw
Polonia
PL WARSZAW01
University of Warsaw
Polonia
PL WARSZAW01
University of Warsaw
Polonia
Uniwersytet Mikolaja Kopernika w Toruniu
Wroclaw University
- Destinazioni
FacultyALLEGATO
of JournalismBand
Political
Sciences - Dep. of Journalism
to be decided
1
5
Inglese: C1
\
Faculty of Neofilology
to be decided
1
5
Inglese: C1
\
PL WARSZAW01
Faculty of Applied Linguitics
to be decided
1
5
Inglese: C1
Italiano
Polonia
PL TORUN01
Faculty of History
to be decided
2
5
Inglese: B2
\
Polonia
PL WROCLAW01
Istitute of Romance Philology
languages
2
5
Inglese: B2
Italiano
1
5
Inglese: B2
\
Universidade Nova di Lisboa
Portogallo
P LISBOA03
Social sciences and Humanities
languages/international
relations
Masaryk University
Rep.Ceca
C ZBRNO05
dept. of romance languages
languages
1
5
Inglese: B2
Italiano
University of West Bohemia
Rep.Ceca
CZ PLZEN01
Faculty of Philosophy and Arts, Dep. Of
Historical sciences
to be decided
1
5
Inglese: B1
\
Alexandru Ioan Cuza University of Iasi
Romania
RO IASI02
Faculty of Letters
to be decided
1
5
Inglese: B2
Italiano
Univeraitatea Babes Bolyai
Romania
RO CLUJNAP01
Faculty of Letters
to be decided
1
5
Inglese: B2
\
Universitatea Babes-Bolyai
Romania
RO CLUJNAP01
Faculty of History and Philosophy
to be decided
1
5
Inglese: B2
\
University of Craiova
Romania
RO CRAIOVA01
Faculty of Letters
to be decided
1
5
Inglese: B1
Italiano
University of Timisoara
Romania
RO TIMISOA01
Dept. Of modern languages
modern languages
1
5
Inglese: B2
\
to be decided
1
5
Inglese: B2
\
Department of Foreign languages/ Dep.
SK RUZOMBE01
of journalism
Catholic University in Ružomberok
Slovacchia
Matej Bel University
Slovacchia
SK BANSKA01
Faculty of Arts
To be decided
1
5
Inglese: C1
Italiano
Universidad Complutense de Madrid
Spagna
E MADRID03
Ciencias de la informaccion
to be decided
1
5
Spagnolo: B2
\
Universidad Complutense de Madrid
Spagna
E MADRID03
facultad de documentacion
to be decided
1
5
Spagnolo: B2
\
Universidad de Cantabria
Spagna
E SANTAND01
Department of Modern and
Contemporary History
to be decided
1
5
Spagnolo: B1
Inglese: B1
Universidad de Castilla La Mancha
Spagna
E CIUDA-R01
School of Letters
to be decided
1
5
Spagnolo: B2
Inglese: B2
to be decided
1
5
Spagnolo: B2
\
Universidad de Murcia
Spagna
E MURCIA01
Faculty of Communication and
Information/Faculty of Arts
Universidad de Oviedo
Spagna
E OVIEDO01
Facultad de Filosofia y Letras
to be decided
1
5
Spagnolo: B1
Italiano
Universidade de Vigo
Spagna
E VIGO 01
Faculty of Social Sciences and
Communication
to be decided
1
5
Spagnolo: B1
Inglese: B1
Universidad Carlors3 Madrid
Spagna
E MADRID14
to be decided
1
5
Spagnolo: B2
Inglese: B2
Dalarna University
Svezia
SFALUN01
non indicato
to be decided
1
5
Inglese: B2
\
Ahi Evran University
Turchia
TR KIRSEHI01
Dept. Of Business and
administration/Dept. Of International
relations
Business and administration
2
5
Inglese: B1
\
Yasar university
Turchia
TR IZMIR05
non indicato
to be decided
1
5
Inglese: B2
\
Eötvös Loránd University (ELTE)
Ungheria
HU BUDAPES01
Kecskeméti Fõiskola (Kecskemét College)
Ungheria
HU KECSKEM02
Szeged University
Ungheria
HU SZEGED01
ALLEGATO
- Destinazioni
Department
of ItalianBlanguage
and
literature
to be decided
1
5
Inglese: B2
Italiano
Teacher Training faculty
to be decided
1
5
Inglese: B1
\
Faculty of Letters, Department of Italian
to be decided
1
5
Inglese: B1
Italiano