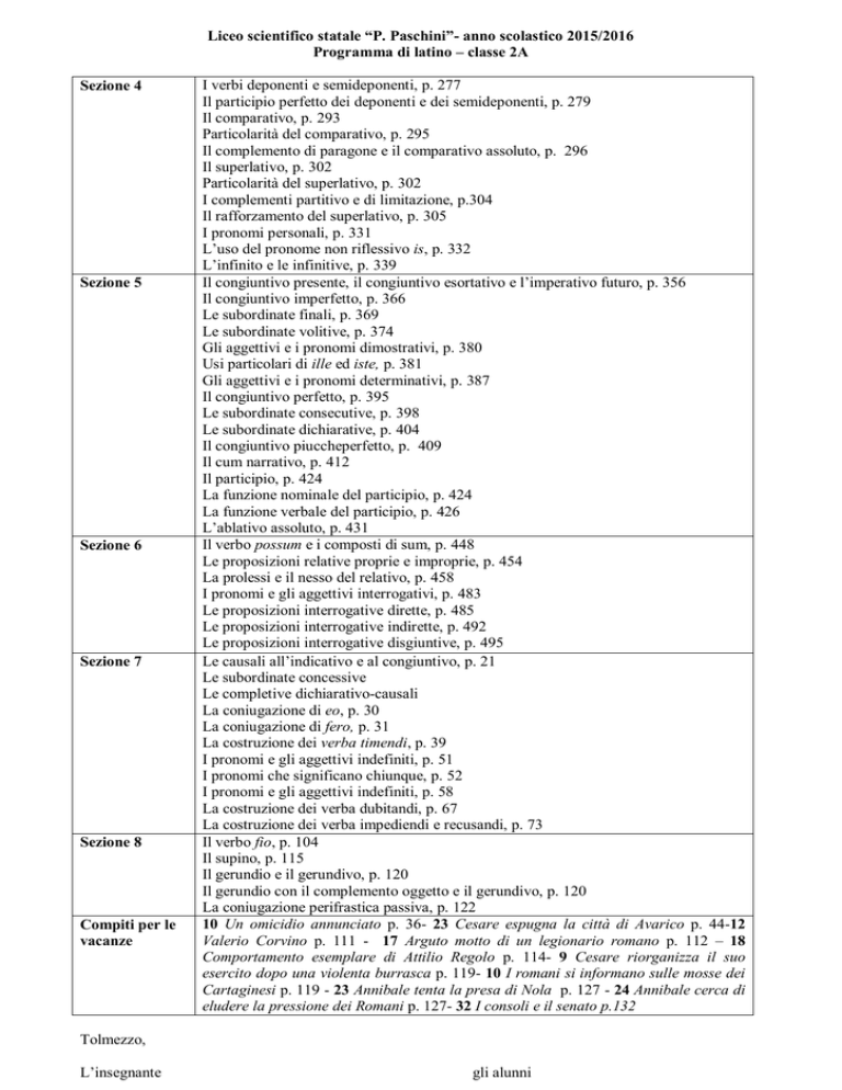
anno scolastico 2015/2016 Programma di latino – classe 2A

Transcript

anno scolastico 2015/2016 Programma di latino – classe 2A
Liceo scientifico statale “P. Paschini”- anno scolastico 2015/2016
Programma di latino – classe 2A
Sezione 4
Sezione 5
Sezione 6
Sezione 7
Sezione 8
Compiti per le
vacanze
I verbi deponenti e semideponenti, p. 277
Il participio perfetto dei deponenti e dei semideponenti, p. 279
Il comparativo, p. 293
Particolarità del comparativo, p. 295
Il complemento di paragone e il comparativo assoluto, p. 296
Il superlativo, p. 302
Particolarità del superlativo, p. 302
I complementi partitivo e di limitazione, p.304
Il rafforzamento del superlativo, p. 305
I pronomi personali, p. 331
L’uso del pronome non riflessivo is, p. 332
L’infinito e le infinitive, p. 339
Il congiuntivo presente, il congiuntivo esortativo e l’imperativo futuro, p. 356
Il congiuntivo imperfetto, p. 366
Le subordinate finali, p. 369
Le subordinate volitive, p. 374
Gli aggettivi e i pronomi dimostrativi, p. 380
Usi particolari di ille ed iste, p. 381
Gli aggettivi e i pronomi determinativi, p. 387
Il congiuntivo perfetto, p. 395
Le subordinate consecutive, p. 398
Le subordinate dichiarative, p. 404
Il congiuntivo piuccheperfetto, p. 409
Il cum narrativo, p. 412
Il participio, p. 424
La funzione nominale del participio, p. 424
La funzione verbale del participio, p. 426
L’ablativo assoluto, p. 431
Il verbo possum e i composti di sum, p. 448
Le proposizioni relative proprie e improprie, p. 454
La prolessi e il nesso del relativo, p. 458
I pronomi e gli aggettivi interrogativi, p. 483
Le proposizioni interrogative dirette, p. 485
Le proposizioni interrogative indirette, p. 492
Le proposizioni interrogative disgiuntive, p. 495
Le causali all’indicativo e al congiuntivo, p. 21
Le subordinate concessive
Le completive dichiarativo-causali
La coniugazione di eo, p. 30
La coniugazione di fero, p. 31
La costruzione dei verba timendi, p. 39
I pronomi e gli aggettivi indefiniti, p. 51
I pronomi che significano chiunque, p. 52
I pronomi e gli aggettivi indefiniti, p. 58
La costruzione dei verba dubitandi, p. 67
La costruzione dei verba impediendi e recusandi, p. 73
Il verbo fio, p. 104
Il supino, p. 115
Il gerundio e il gerundivo, p. 120
Il gerundio con il complemento oggetto e il gerundivo, p. 120
La coniugazione perifrastica passiva, p. 122
10 Un omicidio annunciato p. 36- 23 Cesare espugna la città di Avarico p. 44-12
Valerio Corvino p. 111 - 17 Arguto motto di un legionario romano p. 112 – 18
Comportamento esemplare di Attilio Regolo p. 114- 9 Cesare riorganizza il suo
esercito dopo una violenta burrasca p. 119- 10 I romani si informano sulle mosse dei
Cartaginesi p. 119 - 23 Annibale tenta la presa di Nola p. 127 - 24 Annibale cerca di
eludere la pressione dei Romani p. 127- 32 I consoli e il senato p.132
Tolmezzo,
L’insegnante
gli alunni