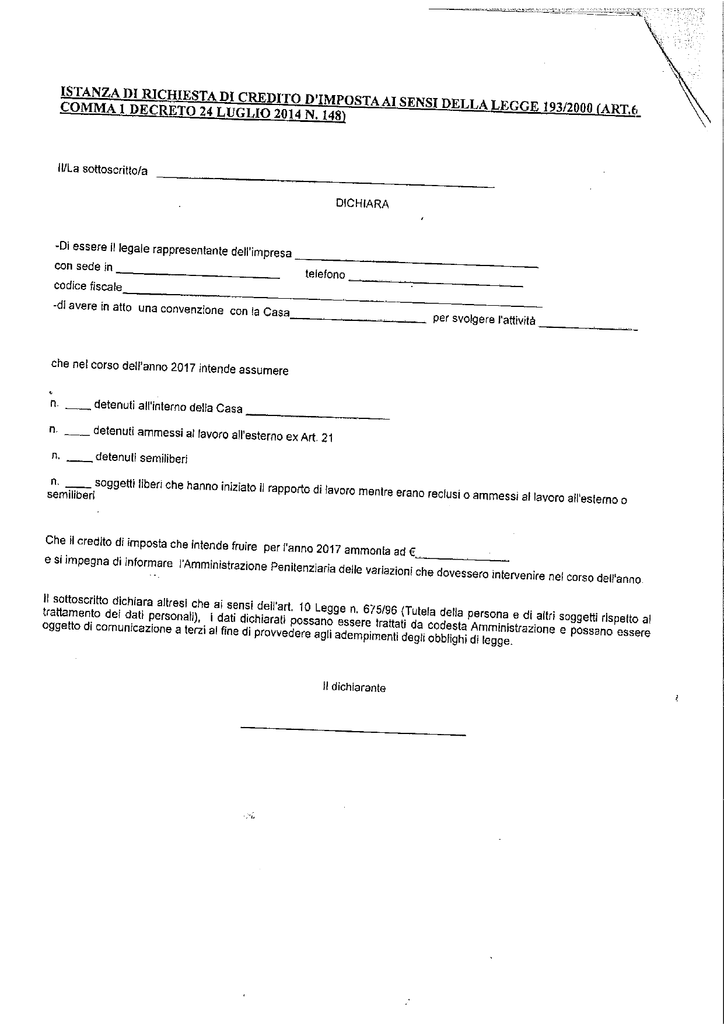
doc
zz
Entrare
Registrazione
Esplorare
×
documentazione
download
Reclamo
Transcript
documentazione
Documenti analoghi