Tabella di integrali immediati Ricordiamo la formula per la derivata

Transcript

Tabella di integrali immediati Ricordiamo la formula per la derivata
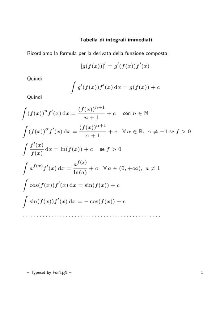
Tabella di integrali immediati
Ricordiamo la formula per la derivata della funzione composta:
′
′
′
[g(f (x))] = g (f (x))f (x)
∫
Quindi
′
′
g (f (x))f (x) dx = g(f (x)) + c
Quindi
∫
∫
∫
∫
(f (x))n+1
(f (x)) f (x) dx =
+c
n+1
n ′
(f (x))α+1
+ c ∀ α ∈ R, α ̸= −1 se f > 0
(f (x)) f (x) dx =
α+1
α ′
f ′ (x)
dx = ln(f (x)) + c
f (x)
se f > 0
af (x)
+ c ∀ a ∈ (0, +∞), a ̸= 1
f (x) dx =
ln(a)
f (x) ′
a
∫
con n ∈ N
′
cos(f (x))f (x) dx = sin(f (x)) + c
∫
′
sin(f (x))f (x) dx = − cos(f (x)) + c
................................................
– Typeset by FoilTEX –
1