Verifica aria - Maestro Massimo

Transcript

Verifica aria - Maestro Massimo
Verifica: L’ARIA
•
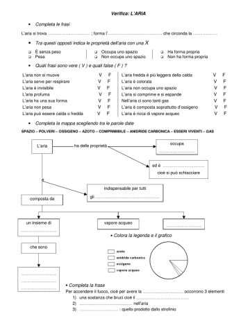
Completa le frasi
L’aria si trova ………………….………………. ; forma l’……………….……….…………………… che circonda la ………..………….
• Tra questi opposti indica le proprietà dell’aria con una X
È senza peso
Pesa
•
Quali frasi sono vere ( V ) e quali false ( F ) ?
L’aria non si muove
L’aria serve per respirare
L’aria è invisibile
L’aria profuma
L’aria ha una sua forma
L’aria non pesa
L’aria può essere calda o fredda
•
Occupa uno spazio
Non occupa uno spazio
V
V
V
V
V
V
V
F
F
F
F
F
F
F
Ha forma propria
Non ha forma propria
L’aria fredda è più leggera della calda
L’aria è colorata
L’aria non occupa uno spazio
L’aria si comprime e si espande
Nell’aria ci sono tanti gas
L’aria è composta soprattutto d’ossigeno
L’aria è ricca di vapore acqueo
V
V
V
V
V
V
V
F
F
F
F
F
F
F
Completa la mappa scegliendo tra le parole date
SPAZIO – POLVERI – OSSIGENO – AZOTO – COMPRIMIBILE – ANIDRIDE CARBONICA – ESSERI VIVENTI – GAS
L’aria
occupa
ha delle proprietà
……………………………..
ed è
………………..………….……..
cioè si può schiacciare
è
indispensabile per tutti
composta da
un insieme di
gli …………………………………….………………..
vapore acqueo
……………………………..
……………………………..
• Colora la legenda e il grafico
che sono
……………………………..
…………………………….
…………………………….
• Completa la frase
Per accendere il fuoco, cioè per avere la …………….………….…..…… occorrono 3 elementi
1) una sostanza che bruci cioè il …………………………..…………..……
2) …………………………..…………..…… nell’aria
3) …………………………..…… : quello prodotto dallo strofinio