allegati al bando pon

Transcript

allegati al bando pon
Allegato
1
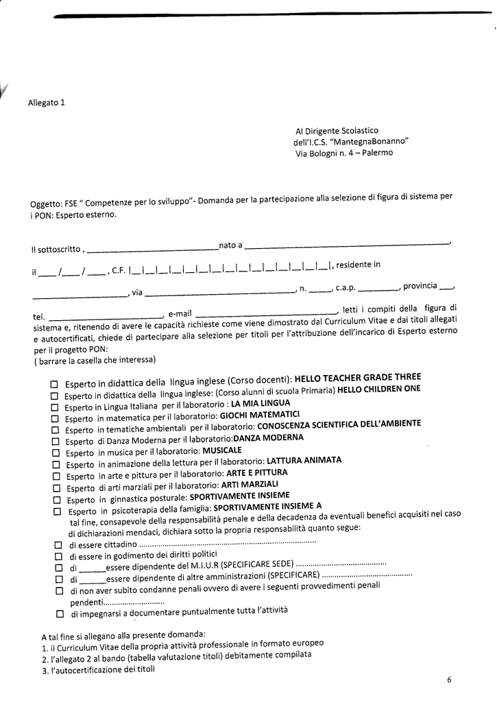
Al Dirigente Scolastico
dell'l.C,S. "MantegnaBonanno"
Via Bologni n. 4 - Palermo
per la partecipazione alla selezione difigura di sistema per
oggetto: FSE.'Competenze per lo sviluppo"- Domanda
i PON: Esperto esterno'
nato
ll sottoscritto
il- /-/
c.F.
-,
a
residente in
l-l-l-l-l-l-l-l-l-l-l-l-l-l-l-l'
n,
vta
e-mail
tel.
,
c,a.p.-----------,
provlncla
-l
letti i comPiti della figura
di
liJ..ffi*iti'i.ni.'t".".*vienedimostratoda|CurriculumVitaeedaitito|ia||egati
!,.- ^ r^llri-^^-i^^
esterno
Esperto octofnl.ì
'li Ecnarln
per titoli per l'attribuzione dell'incarico di
e autocertificati, chiede di partecipare alla selezione
per il progetto PoN:
( barrare Ia casella che interessa)
(corso docenti): HELLO TEACHER GRADE THREE
Esperto in didattica della lingua inglese
n Espertoindidatticade||a|inguaing|ese:(CorsoalunnidiscuolaPrimaria)HELLoCH|LDRENoNE
tr Esperto in Lingua ltaliana per il laboratorio : LA MIA LINGUA
tr Esperto in matematica per il laboratorio: GIOCHI MATEMATICI SCIENTIFICA DELL',AMBIENTE
tr Esperto in tematiche ambientali per il laboratorio: coNoscENzA
n Esperto di Danza Moderna per il laboratorio:DANZA MODERNA
tr Esperto in musica per il laboratorio: MUSICALE
tr Esperto in animazione della lettura per il laboratorio: LATTURA ANIMATA
tr Esperto in arte e pittura per il laboratorio: ARTE E PITTURA
tr Esperto di arti marziali per il laboratorio: ARTI MARZIALI
tr Esperto in ginnastica posturale: SPORTIVAMENTE INSIEME
INSIEME A
tr Esperto in psicoterapia della famiglia: SPORTIVAMENTE
e della decadenza da eventuali beneficiacquisitinelcaso
talfine, consapevole della responsabilità penale
propria responsabilità quanto segue:
di dichiarazioni mendaci, dichiara sotto la
tr di essere cittadino
tr di essere in godimento dei diritti politici
SEDE)
ú di-essere dipendente del M'l'U'R (SPECIFICARE(SPECIFICARE)
""""""""'
tr di _essere dipendente di altre amministrazioni
penali
prowedimenti
seguenti
i
tr di non aver subito condanne penali owero di avere
tr
Pendenti.....
trdiimpegnarsiadocumentarepuntualmentetuttal'attività
A tal fine si allegano alla presente domanda:
professionale in formato europeo
f . il curriculum Vitae della propria attività
debitamente compilata
2. l,allegato 2 al bando (tabella valutazione titoli)
3. l'autocertificazione dei titoli
l'autorizzazione all'uso dei dati personali'
5. documento di identità
/
Data
Firma
-l
-
AUTOCERTIFICAZIONE
puniti
la falsità negli atti, nei casi previsti dalla legge' sono
ll candidato, consapevole che le dichiarazioni mendaci,
(artt. 75 e 76 delTesto unico sulla documentazione
dal codice penale e dalle leggi speciali in materia
questi
del curriculum e i titoli elencati sono veritieri e di
amministrativa D.p.R. 44s/2ooo) dichiara che i contenuti
è pronto e disponibile ad esibirne gli originali'
ultimi
Firma
I
Data
-
-l
AUTORIZZAZIONE ALL,USO DEI DATI PERSONALI
tl sottoscritto autorizza
nella
l'lstituto altrattamento dei dati personalicontenuti
ii::ff;i[il,1:#iiÍ::::;';';;r;'il;;;,':
f y:::îyl'di
2003,n.lg6"Codiceinmateriadiprotezionedeidatipersonali")'
Data- /-l
-
Present::t:::1jìtj:iltfrilt;
cui arra presente domanda (D
Firma
L
vo 30 giugno
nw
Fff$1fr3$
-sTffiEJ'H-TU fT F* L$
ffifiJffiffi$}W$
Unlone Eurspss
kffi{::}"s*Xffil
N
W
nc}IUR
;ìS.ìts'--
cffi M pffi
st\sl\d$ $TAT&{-ffi
M#NUAFd Nffi,
"IWANTfiGNA
lsYlTuT#
Tabella di valutazione
*
titoli per la selezione degli esperti esterni del Programma Operativo Nazionale
Fondo Sociale EuroPeo
AUTORIZZAZIONE MIUR PROT. n. AOODGAI- 8387 del26107l20t3 TITOLI
PUNTEGGIO
Diploma di laurea quinquennale o quadriennale con
voti 110/110 e lode
Diploma di laurea quinquennale o quadriennale con
voti 110/110
Diploma di laurea quínquennale o quadriennale con
voti da 109/110 a 100/110
Diploma di laurea quinquennale o quadriennale con
voti da 99/tt0 a79/t70
Abilitazione all'esercizio della professione
5
4
3,50
3
6
2
Abilitazione all'insegnamento
Specializzazione con corsi di perfezionamento postlauream di durata biennale
Per ogni altra laurea
Pubblicazioni specifiche attinenti l'area richiesta
Master - Stage o corso di formazione
Seminari - convegni attinenti all'area richiesta
1 (fino a un massimo di 2)
Per la partecipazione nel ruolo di docente a progetti
3 per ogni progetto (fino a un max di 15)
relativi all'area richiesta
Per ogni mese o frazione di almeno 16 giorni di
attività lavorativa e/o di volontariato nell'area
richiesta
Per esperienza di formazione in aree afferenti a
ouella richiesta
Per esperienza di formazione in aree afferenti a
quella richiesta presso questo lstituto comprensivo
piattaforma.
Max
1
3 (fino a un max di 9)
l fino ad un max di 3
0,50 fino ad un max di 3
0,50 (fino a un max di 3)
3 per ogni esperienza (fino a un max di 12)
5 per ogni esperienza (fino a un max di 10)
W
ffiffi8Tffi*
sYffik$ry'Yksffiffihffi
ffi$JS&ffi$pffi$
UfiiùfiÉ Furopsa
KffiS:.\-ì-*$ffi
:
$sr$T{-iTffi {:ffi !wpffi
ffi $q
"hfi Afs {[GNA *
|VIIUSI
$ J$,
:,r,-, ,j : : r:
.
..-
:::
i:"-r
":"'*-'
::,:
, ":.
..,:.:,j.rl.:':
$lw# $T&TALf;
&SruAN
${
S"
SCHEDA TITOLI
CANDIDATO
oBr ETTIVO/AZIONE RICHIESTO,
DESCRIZTON E/RIFERIMENTO CURRICULUM
TITOLI
PUNTEGGI
o
Diploma di laurea
Abilitazione all'esercizio della professione
Abilitazione all'insegnamento
Specializzazione con corsi di
perfezionamento post-lauream di durata
biennale
Altra laurea
Pubblicazioni specifiche attinenti l'area
richiesta
Master
-
Seminari
richiesta
Stage o corso di formazione
-
convegni attinenti all'area
Partecipazione nel ruolo di docente
progetti relativi all'area richiesta
a
Per ogni mese o frazione di almeno 16
giorni di attività lavorativa e/o di
volontariato nell'area richiesta
Per esoerienza di formazione in aree
afferenti a quella richiesta
Per esperienza di formazione in aree
afferenti a quella richiesta presso questo
lstituto comprensivo
i0
i$TlTt*lr#
fl #$wpffi
"{W&NTUffi
ffi
NA *
N$lvffi
mffi
STATAi-H
NAfrt
f'd
ffi'
VALUTAZION E COLLOQUI ORALI
OBIETTIVO:.
CAN Dl DATO:.....,..."""
""'
Esperienza Precedente (1/10):
Progetto da attuare (1/10):
(1/10)
Conoscenze informatiche
:
tt cotloquio si riterrù superoto se
il
complessîvo superiore oî 21/30'
candidoto otterrà uno volutozione
ll
I
N
FORMATIVA AGLI I NTERESSATI
(ai sensi dell'art. 13 del DLgs n. 196/2003)
Ai sensi dell'art. 13 del testo unico (D.lgs. 196/2003),l'l.C.S. Mantegna-Bonanno si informa che, per quanto
riguarda la tutela della privacy, l'lstituzione scolastica ha predisposto il DOCUMENTO PROGRAMMATICO
SULLA SICUREZZA (DPS), in cui sono riportate le misure adottate e le istruzioni impartite ai soggetti
incaricati deltrattamento, alfine di garantire la tutela della riservatezza dei dati.
La S,V., poiché interessata dal trattamento dati, eseguito presso questa lstituzione scolastica, ha il diritto
di essere informata sulle caratteristiche del trattamento dei propri dati e sui diritti che la Legge a Lei
ri co
nosce.
Pertanto, i dati conferiti saranno raccolti e trattati secondo quanto di seguito riportato:
a)
!a natura relativa al conferimento dei dati è necessaria per le seguenti finalità strettamente correlate alla
instaurazione e prosecuzione del rapporto:
t. adempimento di obblighifiscali e contabili;
2. adempimento degli obblighi contrattuali;
3. amministrazione di contratti;
4. gestione del contenzioso, inadempimenti contrattuali, diffide, arbitrati, controversie giudiziarie.
b) il trattamento dei dati personali, forniti da Lei direttamente
o comunque acquisiti, avverrà presso la sede
dell'lstituto, nel rispetto dei principidi necessita e pertinenza. In particolare i dativerranno trattati con le seguenti
modalità:
L
2.
3.
registrazione ed elaborazione su supporto cartaceo;
registrazione ed elaborazione su supporto magnetico;
organizzazione degli archivi in forma automatizzata e non automatizzata, nei modi e nei limiti necessari per
perseguire le predette finalità,
c) i
dati richiesti al Fornitore sono strettamente funzionali all'instaurazione e prosecuzione del rapporto,
pertanto le conseguenze di un eventuale rifiuto comporteranno l'impossibilità di codesto istituto di instaurare
proseguire il rapporto.
d) i
dati, qualora cio sia strumentale al perseguimento delle finalità indicate al punto a, potranno
e
essere
comunicati a Forze Armate, Uffici Giudiziari, Altre Amministrazioni Pubbliche (qualora ciò sia previsto dalla Legge),
studi professionali e di consulenza.
e)
Titolare del trattamento è l'l,C.S. Mantegna Bonanno nella persona del Dirigente Scolastico Prof' Carmelo
Ciringione
f)
informiamo altresì che Lei potrà esercitare i diritti, di cui all'art.7 del Testo Unico in materia di trattamento
di dati personali, presentando istanza alla segreteria o al responsabile del Trattamento, richiedendo l'apposito
La
modulo.
In particolare la Legge, in qualità diinteressato, Le consente di:
' Accedere alle informazioni che la riguardano e conoscere le finalità e le modalità del trattamento, nonché la
logica dello stesso;
r Chiedere la cancellazione, il blocco o la trasformazione in forma anonima dei dati trattati in violazione della
Legge;
.
.
Opporsi altrattamento per motivi legittimi;
Chiedere l'aggiornamento, la rettificazione o, qualora ne abbia interesse, l'integrazione dei dati trattati. ll
Titolare del Trattamento: prof. Carmelo Ciringione.
t2
Consenso al trattamento dei dati personali sensibili ed ai sensi
i
F
I
dell'art.96 DLgs n'196/2003'
preso atto dell'informativa di cui sopra, ricevuta ai sensi dell'art. 13 DLgs n.t9612Ù03, acconsento al
trrttamento dei dati personali, anche quelli sensibili, che mi riguardano, funzionali agli scopi ed alle finalità
per le quali il trattamento è effettuato, compresa la loro comunicazione a terzi.
Datae
luoso
firma
IJ