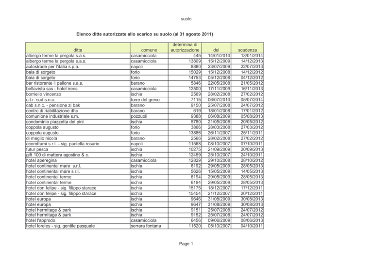
Elenco ditte autorizzate allo scarico su suolo (documento pdf)

Transcript

Elenco ditte autorizzate allo scarico su suolo (documento pdf)
suolo
Elenco ditte autorizzate allo scarico su suolo (al 31 agosto 2011)
ditta
albergo terme la pergola s.a.s.
albergo terme la pergola s.a.s.
autostrade per l'italia s.p.a.
baia di sorgeto
baia di sorgeto
bar ristorante il pallone s.a.s.
bellavista sas - hotel ireos
borriello vincenzo
c.t.r. sud s.n.c.
cab s.n.c. - pensione zi bak
centro di riabilitazione dhc
comunione industriale s.m.
condominio piazzetta dei pini
coppola augusto
coppola augusto
di meglio nicola
ecorottami s.r.l. - sig. paolella rosario
futur pesca
gift 100 di mattera agostino & c.
hotel aperegina
hotel continental mare s.r.l.
hotel continental mare s.r.l.
hotel continental terme
hotel continental terme
hotel don felipe - sig. filippo starace
hotel don felipe - sig. filippo starace
hotel europa
hotel europa
hotel hermitage & park
hotel hermitage & park
hotel l'approdo
hotel loreley - sig. gentile pasquale
comune
casamicciola
casamicciola
napoli
forio
forio
barano
casamicciola
ischia
torre del greco
barano
barano
pozzuoli
ischia
forio
forio
barano
napoli
ischia
ischia
casamicciola
ischia
ischia
ischia
ischia
ischia
ischia
ischia
ischia
ischia
ischia
casamicciola
serrara fontana
determina di
autorizzazione
445
13809
8880
15029
14753
5846
12500
2569
7115
9150
619
9388
5780
3866
13886
2566
11568
10275
12459
12829
6192
5626
6194
6194
15175
15454
9646
9647
9151
9152
6456
11520
Page 1
del
14/01/2010
15/12/2009
23/07/2009
15/12/2008
05/12/2008
22/05/2008
17/11/2009
28/02/2008
06/07/2010
25/07/2008
18/01/2008
06/08/2009
21/05/2008
28/03/2008
26/11/2007
28/02/2008
08/10/2007
21/09/2009
25/10/2007
29/10/2008
29/05/2009
15/05/2009
29/05/2009
29/05/2009
18/12/2007
21/12/2007
31/08/2009
31/08/2009
25/07/2008
25/07/2008
09/06/2009
05/10/2007
scadenza
13/01/2014
14/12/2013
22/07/2013
14/12/2012
04/12/2012
21/05/2012
16/11/2013
27/02/2012
05/07/2014
24/07/2012
17/01/2012
05/08/2013
20/05/2012
27/03/2012
25/11/2011
27/02/2012
07/10/2011
20/09/2013
24/10/2011
28/10/2012
28/05/2013
14/05/2013
28/05/2013
28/05/2013
17/12/2011
20/12/2011
30/08/2013
30/08/2013
24/07/2012
24/07/2012
08/06/2013
04/10/2011
suolo
hotel pineta
hotel pineta
hotel pineta
hotel pineta
hotel regina palace s.r.l.
hotel royal terme s.r.l.
hotel royal terme s.r.l.
hotel royal terme s.r.l.
hotel royal terme s.r.l.
hotel royal terme s.r.l.
hotel s. leonard - ischia sud s.a.s.
hotel terme president s.r.l.
hotel torre sant'angelo srl
hotel villa durrueli s.r.l.
hotel vittoria s.a.s.
impianto di distribuzione carburanti agip
ischia le terme della bellezza s.r.l.
island center s.a.s.
istituto roberto darmon
la diagnostica ecografica
leonic hotel s. giorgio
leonic hotel s. giorgio
leonic hotel smeraldo (domestica)
leonic hotel smeraldo (termale)
metro campania s.p.a.
metro campania s.p.a.
oropane
ortofrutticola italverde s.r.l.
ortofrutticola san pasquale
panificio la cocchia
pensione casa bernardina
pizzeria del sorbo mauro
puntamolino alberghi
scotti m. & a.
starsystem s.n.c.
studio dentistico "s. apollonia"
ischia
ischia
ischia
ischia
ischia
ischia
ischia
ischia
ischia
ischia
forio
ischia
forio
ischia
ischia
giugliano
ischia
barano
marano
ischia
barano
barano
barano
barano
pozzuoli
pozzuoli
ischia
poggiomarino
poggiomarino
serrara fontana
forio
pimonte
ischia
ischia
qualiano
ischia
8562
8157
8156
8465
446
9516
9519
9518
9515
9517
8155
8681
10274
5557
5688
15182
3544
3655
3379
3330
11675
11674
11509
11510
5616
10130
1069
14283
3747
11508
10215
9514
7328
8464
11567
14740
Page 2
14/07/2008
04/07/2008
04/07/2008
10/07/2008
14/01/2010
18/08/2009
18/08/2009
18/08/2009
18/08/2009
18/08/2009
04/07/2008
16/07/2009
21/09/2009
25/05/2010
19/05/2008
18/12/2007
25/03/2009
06/04/2010
29/03/2010
13/03/2008
07/10/2008
07/10/2008
02/10/2008
02/10/2008
16/05/2008
17/11/2003
28/01/2009
30/11/2007
23/03/2007
02/10/2008
29/08/2008
18/08/2009
19/06/2008
10/07/2008
08/10/2007
11/12/2007
13/07/2012
03/07/2012
03/07/2012
09/07/2012
13/01/2014
17/08/2013
17/08/2013
17/08/2013
17/08/2013
17/08/2013
03/07/2012
15/07/2013
20/09/2013
24/05/2014
18/05/2012
17/12/2011
24/03/2013
05/04/2014
28/03/2014
12/03/2012
06/10/2012
06/10/2012
01/10/2012
01/10/2012
15/05/2012
16/11/2007
27/01/2013
29/11/2011
22/03/2011
01/10/2012
28/08/2012
17/08/2013
18/06/2012
09/07/2012
07/10/2011
10/12/2011
suolo
superchiocca s.r.l.
trofa francesco
villa tara srl
ischia
barano
serrara fontana
9592
4298
12658
Page 3
04/08/2008
09/04/2008
19/11/2009
03/08/2012
08/04/2012
18/11/2013