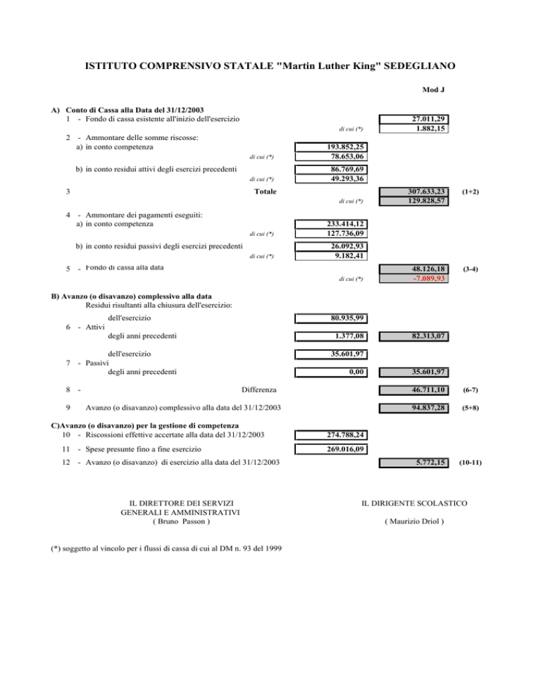
ISTITUTO COMPRENSIVO STATALE "Martin Luther King

Transcript

ISTITUTO COMPRENSIVO STATALE "Martin Luther King
ISTITUTO COMPRENSIVO STATALE "Martin Luther King" SEDEGLIANO
Mod J
A) Conto di Cassa alla Data del 31/12/2003
1 - Fondo di cassa esistente all'inizio dell'esercizio
di cui (*)
2 - Ammontare delle somme riscosse:
a) in conto competenza
di cui (*)
193.852,25
78.653,06
di cui (*)
86.769,69
49.293,36
b) in conto residui attivi degli esercizi precedenti
3
Totale
di cui (*)
4 - Ammontare dei pagamenti eseguiti:
a) in conto competenza
di cui (*)
233.414,12
127.736,09
di cui (*)
26.092,93
9.182,41
b) in conto residui passivi degli esercizi precedenti
5 - Fondo di cassa alla data
di cui (*)
27.011,29
1.882,15
307.633,23
129.828,57
(1+2)
48.126,18
-7.089,93
(3-4)
B) Avanzo (o disavanzo) complessivo alla data
Residui risultanti alla chiusura dell'esercizio:
dell'esercizio
80.935,99
6 - Attivi
degli anni precedenti
1.377,08
dell'esercizio
7 - Passivi
degli anni precedenti
35.601,97
8 9
0,00
Differenza
Avanzo (o disavanzo) complessivo alla data del 31/12/2003
C)Avanzo (o disavanzo) per la gestione di competenza
10 - Riscossioni effettive accertate alla data del 31/12/2003
11 - Spese presunte fino a fine esercizio
12 - Avanzo (o disavanzo) di esercizio alla data del 31/12/2003
IL DIRETTORE DEI SERVIZI
GENERALI E AMMINISTRATIVI
( Bruno Passon )
(*) soggetto al vincolo per i flussi di cassa di cui al DM n. 93 del 1999
82.313,07
35.601,97
46.711,10
(6-7)
94.837,28
(5+8)
5.772,15
(10-11)
274.788,24
269.016,09
IL DIRIGENTE SCOLASTICO
( Maurizio Driol )