Il mio canto libero
Transcript
Il mio canto libero
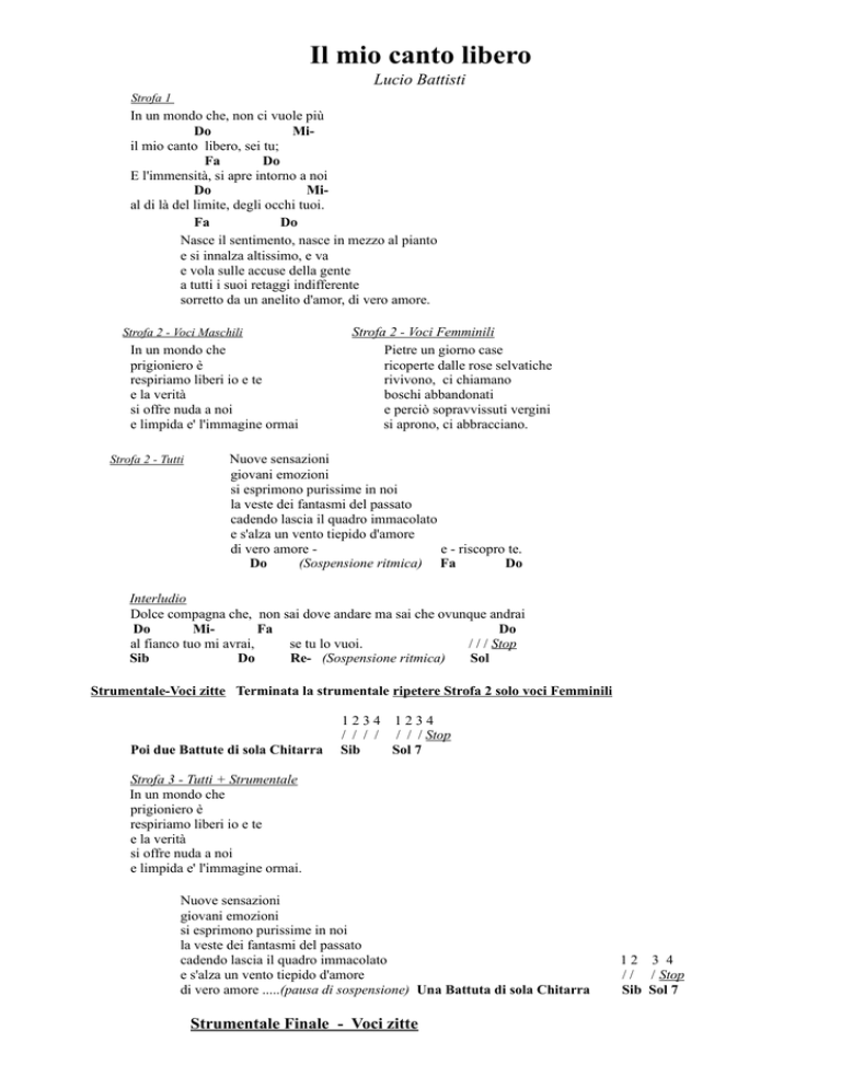
Il mio canto libero Lucio Battisti Strofa 1 In un mondo che, non ci vuole più Do Miil mio canto libero, sei tu; Fa Do E l'immensità, si apre intorno a noi Do Mial di là del limite, degli occhi tuoi. Fa Do Nasce il sentimento, nasce in mezzo al pianto e si innalza altissimo, e va e vola sulle accuse della gente a tutti i suoi retaggi indifferente sorretto da un anelito d'amor, di vero amore. Strofa 2 - Voci Maschili In un mondo che prigioniero è respiriamo liberi io e te e la verità si offre nuda a noi e limpida e' l'immagine ormai Strofa 2 - Tutti Strofa 2 - Voci Femminili Pietre un giorno case ricoperte dalle rose selvatiche rivivono, ci chiamano boschi abbandonati e perciò sopravvissuti vergini si aprono, ci abbracciano. Nuove sensazioni giovani emozioni si esprimono purissime in noi la veste dei fantasmi del passato cadendo lascia il quadro immacolato e s'alza un vento tiepido d'amore di vero amore e - riscopro te. Do (Sospensione ritmica) Fa Do Interludio Dolce compagna che, non sai dove andare ma sai che ovunque andrai Do MiFa Do al fianco tuo mi avrai, se tu lo vuoi. / / / Stop Sib Do Re- (Sospensione ritmica) Sol Strumentale-Voci zitte Terminata la strumentale ripetere Strofa 2 solo voci Femminili Poi due Battute di sola Chitarra 1234 1234 / / / / / / / Stop Sib Sol 7 Strofa 3 - Tutti + Strumentale In un mondo che prigioniero è respiriamo liberi io e te e la verità si offre nuda a noi e limpida e' l'immagine ormai. Nuove sensazioni giovani emozioni si esprimono purissime in noi la veste dei fantasmi del passato cadendo lascia il quadro immacolato e s'alza un vento tiepido d'amore di vero amore .....(pausa di sospensione) Una Battuta di sola Chitarra Strumentale Finale - Voci zitte 12 3 4 / / / Stop Sib Sol 7
Documenti analoghi
Testo e accordi di “Il mio canto libero” in pdf
e l'immensita'
si apre intorno a noi
al di la del limite
degli occhi tuoi
nasce il sentimento
nasce in mezzo al pianto
e s'innalza altissimo
e va
e vola sulle accuse della gente
a tutti i suoi ret...