• Imposta plurifase genera un gettito maggiore a parità di aliquote

Transcript

• Imposta plurifase genera un gettito maggiore a parità di aliquote
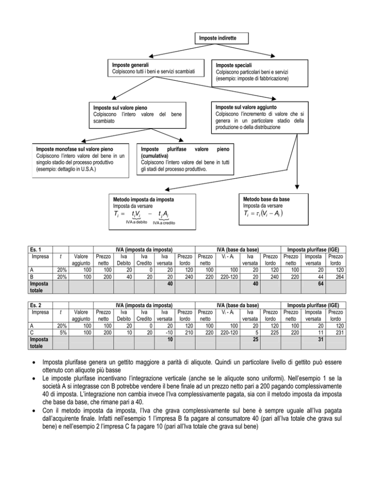
Imposte indirette
Imposte generali
Colpiscono tutti i beni e servizi scambiati
Imposte sul valore pieno
Colpiscono l’intero valore del bene
scambiato
Imposte monofase sul valore pieno
Colpiscono l’intero valore del bene in un
singolo stadio del processo produttivo
(esempio: dettaglio in U.S.A.)
t iVi
{
IVA a debito
Es. 1
Impresa
A
B
Imposta
totale
Es. 2
Impresa
A
C
Imposta
totale
•
•
•
Imposte sul valore aggiunto
Colpiscono l’incremento di valore che si
genera in un particolare stadio della
produzione o della distribuzione
Imposte plurifase valore pieno
(cumulativa)
Colpiscono l’intero valore del bene in tutti
gli stadi del processo produttivo.
Metodo imposta da imposta
Imposta da versare
Ti =
Imposte speciali
Colpiscono particolari beni e servizi
(esempio: imposte di fabbricazione)
−
t j Ai
{
Metodo base da base
Imposta da versare
Ti = τ i (Vi − Ai )
IVA a credito
IVA (imposta da imposta)
IVA (base da base)
Imposta plurifase (IGE)
Valore Prezzo
Iva
Iva
Iva
Prezzo Prezzo
Vi - Ai
Iva
Prezzo Prezzo Imposta Prezzo
aggiunto netto Debito Credito versata lordo
netto
versata lordo
netto
versata
lordo
20%
100
100
20
0
20
120
100
100
20
120
100
20
120
20%
100
200
40
20
20
240
220 220-120
20
240
220
44
264
40
40
64
t
IVA (imposta da imposta)
IVA (base da base)
Imposta plurifase (IGE)
Valore Prezzo
Iva
Iva
Iva
Prezzo Prezzo
Vi - Ai
Iva
Prezzo Prezzo Imposta Prezzo
aggiunto netto Debito Credito versata lordo
netto
versata lordo
netto
versata
lordo
20%
100
100
20
0
20
120
100
100
20
120
100
20
120
5%
100
200
10
20
-10
210
220 220-120
5
225
220
11
231
10
25
31
t
Imposta plurifase genera un gettito maggiore a parità di aliquote. Quindi un particolare livello di gettito può essere
ottenuto con aliquote più basse
Le imposte plurifase incentivano l’integrazione verticale (anche se le aliquote sono uniformi). Nell’esempio 1 se la
società A si integrasse con B potrebbe vendere il bene finale ad un prezzo netto pari a 200 pagando complessivamente
40 di imposta. L’integrazione non cambia invece l’Iva complessivamente pagata, sia con il metodo imposta da imposta
che base da base, che rimane pari a 40.
Con il metodo imposta da imposta, l’Iva che grava complessivamente sul bene è sempre uguale all’Iva pagata
dall’acquirente finale. Infatti nell’esempio 1 l’impresa B fa pagare al consumatore 40 (pari all’Iva totale che grava sul
bene) e nell’esempio 2 l’impresa C fa pagare 10 (pari all’Iva totale che grava sul bene)
Base imponibile di un’imposta sul valore aggiunto
Dipende dal trattamento dell’Iva pagata sui beni di investimento
Non detraibilità
Detraibilità quota ammortamento
Detraibilità integrale
⇒
⇒
⇒
Reddito lordo
Reddito netto
Consumo
Esempio
Iva 10%
Imprese che producono beni di
Intermedi
Consumo
100
50
Investimento
Acq. inv.
Ammort.
Beni int.
Sal. e prof.
Fatturato
V.A. lordo
V.A. netto
Iva consumo
Iva redd. lordo
Iva redd. netto
Regimi Iva
Regime
Imponibili
Aliquote
normale
20%
ridotte 4% - 10%
Non imponibili
(Aliquota 0)
Esenti
100
100
100
100
10
10
10
250
300
300
250
20
30
25
Tot.
100
50
300
550
900
600
550
50
60
55
300
200
500
200
200
20
20
20
Beni e servizi
Recupero Iva pagata
Cessioni di beni e prestazioni di servizi effettuate nel territorio dello Stato
nell’esercizio di imprese o nell’esercizio di arti e professioni salvo che non
siano espressamente non-imponibili o esenti.
SI
Importazioni da paesi extra Ue da chiunque effettuate
Cessioni all’esportazione extra Ue
SI
Servizi creditizi, trasporti urbani, sanità, previdenza, istruzione
Iva in un contesto internazionale
Principio di destinazione
Sui beni oggetto di scambio internazionale si applicano le aliquote del paese di destinazione
Principio di origine
Sui beni oggetto di scambio internazionale si applicano le aliquote del paese di origine
Effetti sui prezzi
Principio di destinazione
prezzo no tax
produzione interna
pB
prezzo cum tax
p B (1 + t B )
Importazione
pA
p A (1 + t B )
prezzi relativi
pB / p A
pB / p
A
Principio di origine
Produzione interna
prezzo no tax
pB
prezzo cum tax
pB (1+ t B )
Importazione
pA
p A (1 + t A )
Prezzi relativi
pB / p A
pB(1+tB)/ pA(1+tA)
NO