Addendum descrizione della fornitura Procedura negoziata per la

Transcript

Addendum descrizione della fornitura Procedura negoziata per la
Addendum al foglio patti e condizioni: descrizione della fornitura.
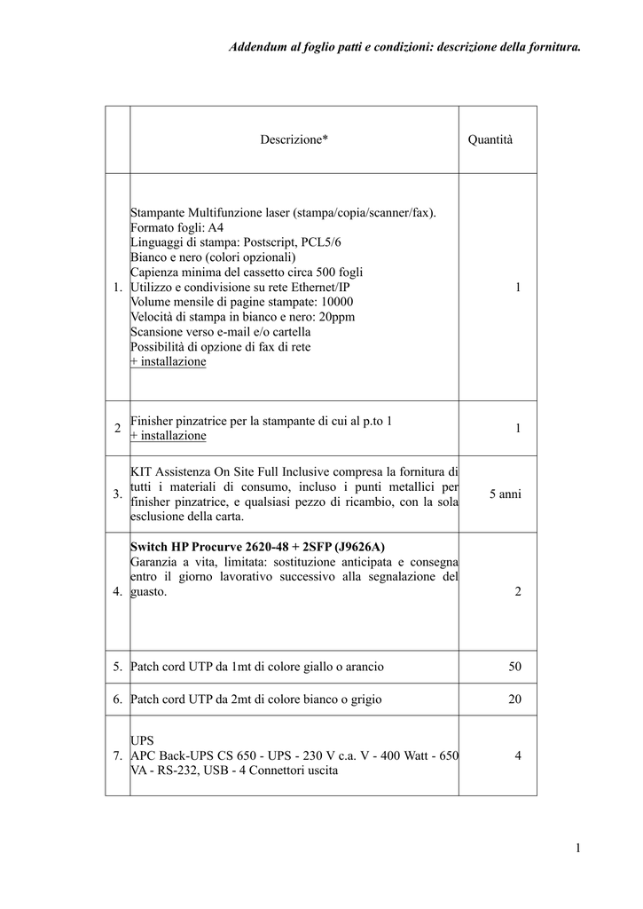
Descrizione*
Stampante Multifunzione laser (stampa/copia/scanner/fax).
Formato fogli: A4
Linguaggi di stampa: Postscript, PCL5/6
Bianco e nero (colori opzionali)
Capienza minima del cassetto circa 500 fogli
1. Utilizzo e condivisione su rete Ethernet/IP
Volume mensile di pagine stampate: 10000
Velocità di stampa in bianco e nero: 20ppm
Scansione verso e-mail e/o cartella
Possibilità di opzione di fax di rete
+ installazione
2
Finisher pinzatrice per la stampante di cui al p.to 1
+ installazione
KIT Assistenza On Site Full Inclusive compresa la fornitura di
tutti i materiali di consumo, incluso i punti metallici per
3.
finisher pinzatrice, e qualsiasi pezzo di ricambio, con la sola
esclusione della carta.
Switch HP Procurve 2620-48 + 2SFP (J9626A)
Garanzia a vita, limitata: sostituzione anticipata e consegna
entro il giorno lavorativo successivo alla segnalazione del
4. guasto.
Quantità
1
1
5 anni
2
5. Patch cord UTP da 1mt di colore giallo o arancio
50
6. Patch cord UTP da 2mt di colore bianco o grigio
20
UPS
7. APC Back-UPS CS 650 - UPS - 230 V c.a. V - 400 Watt - 650
VA - RS-232, USB - 4 Connettori uscita
4
1
Addendum al foglio patti e condizioni: descrizione della fornitura.
Descrizione
Quantità
HD Western Digital WD RE4 WD5003ABYX o
8. WD5003ABYZ - Hard disk - 500 GB - interno - 3.5" - SATA300 - 7200 rpm - buffer: 64 MB
6
HD esterno portatile USB 3 da 2.5” 1 TB, Toshiba o Western
Digital WD
1
9.
10. Lexar Jumpdrive S33, 32GB
3
11. Tastiera USB Logitech layout US (es. mod. K120)
1
12. Switch KVM 2 in/1out USB VGA e relativa cavetteria
1
Lenovo Thinkpad W541
Processore: i7-4710MQ
RAM: 8GB
13.
HD: 1TB
Scheda grafica: W540 NVIDIA Quadro K1100M 2G RAM
S.O.: Windows 7 Pro 64 bit
2
14.
- 3YR ON SITE NEXT BUSINESS DAY per portatili di cui al
p.to 13.
2
Tower Lenovo ThinkCentre E73
modello: 10DR0018IX
Processor:Intel Core i5-4460S Processor( 2.90GHz 1600MHz
6MB)
Operating system:Windows 7 Prof 64
System Graphics:NVIDIA GeForce GT620 1GB
15 Memory:8.0GB PC3-12800 DDR3 SDRAM 1600 MHz
Pointing device:USB Optical Mouse
Hard Drive:1TB
Optical Drive:DVD Recordable
2
+ 5WS0D80882 - 3YR ON SITE Next Busin. Day
2
Addendum al foglio patti e condizioni: descrizione della fornitura.
Descrizione
UPS Network Management Card 2 with Environmental
17 Monitoring, per UPS di supporto a server (APC SMX
3000HV)
Quantità
1
* L’indicazione di “marca e modello” presente in alcuni prodotti individuati, deve
considerarsi sempre accompagnata dalla dicitura “equivalente”. L’operatore economico
che proponesse soluzioni equivalenti ai requisiti definiti dalle specifiche tecniche dei
prodotti indicati, lo dovrà segnalare con separata dichiarazione che allegherà
obbligatoriamente all’offerta.
L’Amministrazione si riserva la facoltà di verificare l’equivalenza e di non accettare la
soluzione proposta, motivandone adeguatamente la decisione.
3