MOD 01_ - Provincia di Verona

Transcript

MOD 01_ - Provincia di Verona
Mod 01
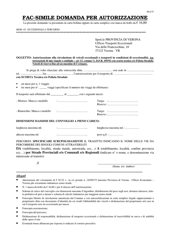
FAC-SIMILE DOMANDA PER AUTORIZZAZIONE
La presente domanda va presentata in carta bollata oppure in carta semplice con marca da bollo da €
16,00
MOD. 01- ECCEZIONALI A PERCORSO
******************************************************************************************
Spett.le PROVINCIA DI VERONA
Ufficio Trasporti Eccezionali
Via delle Franceschine, 10
37122 Verona VR
OGGETTO: Autorizzazione alla circolazione di veicoli eccezionali o trasporti in condizioni di eccezionalità. Autorizzazioni di tipo singolo o multiplo – art 13, comma 7), D.P.R. 495/92 con scorta tecnica e/o Polizia Stradale.
Veicoli di riserva fino ad un massimo di 5 (cinque).
Si prega di voler rilasciare alla sottoscritta ditta ……................................ con sede in ....................................,
tel. .............................. fax .................................. , l’autorizzazione per il trasporto di …………………………………..
con SCORTA Tecnica e/o Polizia Stradale
•
•
un mese per n. 1 viaggio
tre mesi per n°. _____ viaggi (specificare il numero dei viaggi da effettuare)
Il trasporto sarà effettuato dal _________ al ________ con i seguenti mezzi:
- Motrice: Marca e modello
:…………………………..
Targa: :…………………………..
Riserve: :…………………………..
- Rimorchio: Marca e modello
:…………………………..
Targa: :…………………………..
Riserve: :…………………………..
DIMENSIONI MASSIME DEL CONVOGLIO A PIENO CARICO:
larghezza massima ml.
:…………………………..
lunghezza massima ml. :……………
altezza massima ml.
:…………………………..
peso q.li :……………
PERCORSO: SPECIFICARE SCRUPOLOSAMENTE IL TRAGITTO INDICANDO IL NOME DELLE VIE DA
PERCORRERE DEI SINGOLI COMUNI ATTRAVERSATI
DA (stabilimento, località, strada statale, autostrada, ecc…) A (stabilimento, località, confine provincia
ecc…) per Strade Provinciali e/o Comunali e/o Regionali (indicare n° o nome, e denominazione via
interessate al transito)
,lÌ
_____________________________________
(firma e/o timbro)
********************************************************************************************
AllegatI
•
Attestazione del versamento di € 92,52 = su c/c postale n. 14958375 intestato Provincia di Verona - Ufficio Economato –
Verona più versamento indennizzo usura strade;
•
•
N. 1 marca da bollo da € 16,00 = per il rilascio dell’autorizzazione;
•
Fotocopia libretto di circolazione autenticata dal Comune o con autocertificazione in carta semplice (legale rappresentante o
proprietario ditta con documento d’identità) da cui risulti l'abbinabilità dei veicoli o dichiarazione del proprietario nel caso in
cui il trasporto non sia eccezionale per massa
•
•
•
Fotocopia assicurazione;
•
Eventuale busta affrancata per risposta (o indicare il corriere prescelto)
Schema di carico del convoglio con dimensioni massime d’ingombro, distribuzione del peso sugli assi, distanze interasse, lettera probativa di pesi e misure e schema di calcolo indennizzo per maggiore usura strade
Fotocopia del percorso;
Dichiarazione di responsabilità, dichiarazione di trasporto eccezionale e dichiarazione di inscrivibilità in curva e di stabilità
delle opere d’arte