Autoveicoli elettrici e ibridi in produzione

Transcript

Autoveicoli elettrici e ibridi in produzione
22-12-2016
Supplemento ordinario n. 58 alla GAZZETTA UFFICIALE
Serie generale - n. 298
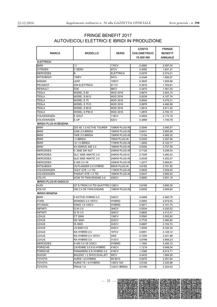
FRINGE BENEFIT 2017
AUTOVEICOLI ELETTRICI E IBRIDI IN PRODUZIONE
0$5&$
02'(//2
6(5,(
&2672
)5,1*(
&+,/20(75,&2
%(1(),7
.0
$118$/(
(/(775,&2
%0:
,
&9
&,752(1
&=(52
&9
0(5&('(6
%
(/(775,&$
0,768%,6+,
,0,(9
&9
1,66$1
/($)
&9
3(8*(27
,21(/(775,&$
&9
5(1$8/7
=2(
&9
7(6/$
02'(/6
02'
7(6/$
02'(/6'
02'
7(6/$
02'(/6
02'
7(6/$
02'(/6'
02'
7(6/$
02'(/6'
02'
7(6/$
02'(/63'
02'
92/.6:$*(1
(*2/)
&9
92/.6:$*(1
(83
&9
,%5,'23/8*,1%(1=,1$
%0:
;($&7,9(7285(5
.:3/8*,1
%0:
(,%5,'$
.:3/8*,1
%0:
(,%5,'$
.:3/8*,1
%0:
,,%5,'$
.:3/8*,1
%0:
,,%5,'$
.:3/8*,1
%0:
;;'5,9((
.:3/8*,1
0(5&('(6
&(6:$87
.:3/8*,1
0(5&('(6
*/&(0$7,&
.:3/8*1
0(5&('(6
*/((0$7,&
.:3/8*,1
0(5&('(6
69
.:3/8*,1
0,768%,6+,
287/$1'(5+<%5,'
.:3/8*,1
92/.6:$*(1
*2/)*7(76,
.:3/8*,1
92/.6:$*(1
3$66$7*7(76,
.:3/8*,1
92/92
;&77:,1(1*,1(
&9
,%5,'23/8*,1*$62/,2
$8',
4(75217',48$7752 &9
92/92
9'7:,1(1*,1(
.:3/8*,1
,%5,'2%(1=,1$
%0:
$&7,9(+<%5,'
&9
)25'
021'(2&9
+<%5,'
+<81'$,
,21,4&9
+<%5,'
,1),1,7,
4
&9
,1),1,7,
4
&9
/(;86
&7+
&9
/(;86
*6+
&9
/(;86
,6+
&9
/(;86
/6+
&9
/(;86
1;+<%5,'
&9
/(;86
1;+<%5,'&9
:'
/(;86
5;+<%5,'
&9
0(5&('(6
69&9
+<%5,'
3256&+(
&$<(11(6(+<%5,'
&9
3256&+(
3$1$0(5$6(+<%5,'
&9
68=8.,
%$/(126+96'8$/-(7
&9
72<27$
$85,6+<%5,'
0<
72<27$
$85,676+<%5,'
&96:
72<27$
35,86
&9,%5,'$
— 32 —
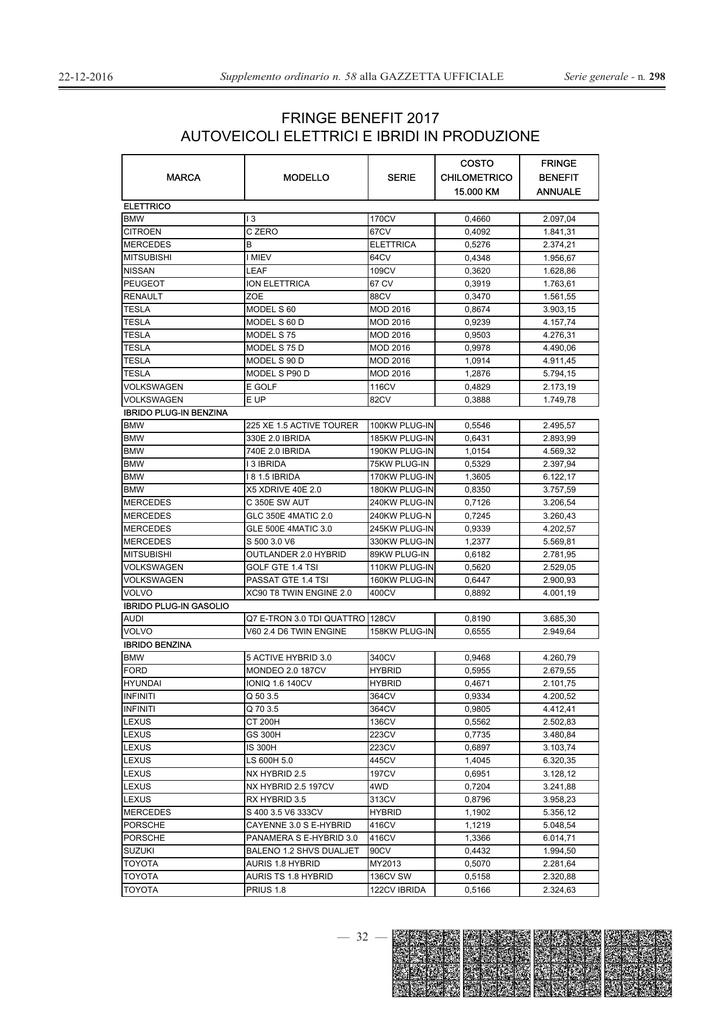
22-12-2016
Supplemento ordinario n. 58 alla GAZZETTA UFFICIALE
0$5&$
02'(//2
6(5,(
Serie generale - n. 298
&2672
)5,1*(
&+,/20(75,&2
%(1(),7
.0
$118$/(
72<27$
35,863267,
&9,%5,'$
72<27$
5$9+<%5,'
&9:'
72<27$
5$9+<%5,'
&9:'
72<27$
<$5,6+6'
+<%5,'
'6
'6&9
+<%5,'
0(5&('(6
&%/8(7(&&9
+<%5,'
0(5&('(6
&%/8(7(&&9
6:+<%5,'
0(5&('(6
6%/8(7(&+&9
+<%5,'
3(8*(27
5;+&9
+<%5,'
,%5,'2*$62/,2
— 33 —